几何画板是一个在数学和物理教学中常用的软件。我们可以用它绘制的图形,能动态地保持设定的几何关系不变。在绘制函数图像时,可以能设定多个可变化的参数。接下来我们利用几何画板具有“绘制多个可变参数的函数图像”的功能,一起来探究“电源输出功率与外电阻的关系”。
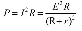
首先,要清楚电源输出功率与外电阻的关系式:设电源的电动势为E,内电阻为r,外电阻外为R,则电源的输出功率P为:P=I2R=E2R/(R+r)2

利用几何画板探究
1、启动几何画板后。点击画板左侧的“线段直尺工具”,在绘图窗口画一线段。(如果需要显示线段端点的标签,可以选择“编辑”→“参数选项”→“文本”的自动显示标签中勾选“应用于所有新建点”,再点击确定即可。本次绘图建议不显示标签。)

2、点击画板左侧的“移动箭头工具”,选择选段,点击右键选择“属性”,在“属性”对话框的标签中输入表示电动势的字母“E”,再勾选“显示标签”,如图所示。

3、用鼠标点取线段E,右击选择“长度”命令,这时将出现线段E的长度,我们用E的长度来表示电动势的大小,如图所示。

4、再用用同样的方法,画出表示电源内阻r大小的线段。
5、选择“图表/新建函数”命令,在“新建函数”对话框中输入E2x/(x+r)2,式中x表示外电阻的大小。在输入E和r时,只要点击表示E和r大小的线段即可,如下图所示

6、点击“新建函数”对话框中“确定”按钮,这时在几何画板的绘图窗口将出现输入的函数式,如下图所示。而且会直接得到函数图像,纵坐标表示电源的输出功率P,横坐标表示外电阻的“输出功率与外电阻关系的图线”,如图所示。

7、用鼠标点取f(x)的关系式,右击选择“属性”,在“属性”对话框的标签中将f该为P,这样使f(x)的函数表达式更符合物理学中用P表示功率的习惯。
8、用鼠标分别拖动线段E和线段r一侧小圆点的位置,从而改变线段的长度,即改变E、r的大小,就可得到不同电动势和内阻时的输出功率与外电阻关系的图线。

9、点击画板左侧的“文本工具”,在绘图窗口加上标题“电源输出功率与外电阻关系”。最后,我们可以通过适当调整线段、文字以及图像的位置,来美化界面。

相关推荐: