题目要求
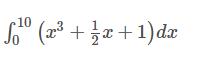
利用指针编写程序,用梯形法计算下列公式中的定积分:

参考代码
首先说明一下指针的用处:因为所传递的参数均为数字,并不需要使用指针提高效率,故这里使用指针指向函数。
请注意calc()函数中的这一语句:
double(*pfunction)() = &function;
即实现了我所描述的过程。
代码如下:
#include <stdio.h>
#include <math.h>
double function(double x){
return (double)(pow(x,3) + x/2 + 1);
}
double calc(double a, double b){
double ha, hb, result=0;
int i;
double(*pfunction)() = &function;
for(i=0; i<1000; i++){
ha = (*pfunction)(a+i*(b-a)/1000.0);
hb = (*pfunction)(a+(i+1)*(b-a)/1000.0);
result += ((ha + hb)*(b-a)/1000.0)/2.0;
}
return result;
}
void main(){
double a = 0, b = 10, result;
result = calc(a, b);
printf("%lf", result);
}
运行结果
【输出】
2535.002500
与实际值2535并无太大差距。若想提高精确度可进一步提高微元分段的数量。
以上这篇C语言:利用指针编写程序,用梯形法计算给定的定积分实例就是小编分享给大家的全部内容了,希望能给大家一个参考,也希望大家多多支持脚本之家。