在缺失值填补上如果用前后的均值填补中间的均值,比如,0,空,1,我们希望中间填充0.5;或者0,空,空,1,我们希望中间填充0.33,0.67这样。
可以用pandas的函数进行填充,因为这个就是线性插值法
df..interpolate()
dd=pd.DataFrame(data=[0,np.nan,np.nan,1])
dd.interpolate()


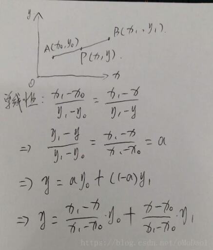
补充知识:线性插值公式简单推导

以上这篇python线性插值解析就是小编分享给大家的全部内容了,希望能给大家一个参考,也希望大家多多支持脚本之家。