假设我们已经知道梯度法——最速下降法的原理。
现给出一个算例:

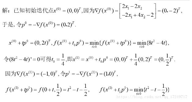
如果人工直接求解:


现给出Python求解过程:
import numpy as np
from sympy import *
import math
import matplotlib.pyplot as plt
import mpl_toolkits.axisartist as axisartist
# 定义符号
x1, x2, t = symbols('x1, x2, t')
def func():
# 自定义一个函数
return pow(x1, 2) + 2 * pow(x2, 2) - 2 * x1 * x2 - 2 * x2
def grad(data):
# 求梯度向量,data=[data1, data2]
f = func()
grad_vec = [diff(f, x1), diff(f, x2)] # 求偏导数,梯度向量
grad = []
for item in grad_vec:
grad.append(item.subs(x1, data[0]).subs(x2, data[1]))
return grad
def grad_len(grad):
# 梯度向量的模长
vec_len = math.sqrt(pow(grad[0], 2) + pow(grad[1], 2))
return vec_len
def zhudian(f):
# 求得min(t)的驻点
t_diff = diff(f)
t_min = solve(t_diff)
return t_min
def main(X0, theta):
f = func()
grad_vec = grad(X0)
grad_length = grad_len(grad_vec) # 梯度向量的模长
k = 0
data_x = [0]
data_y = [0]
while grad_length > theta: # 迭代的终止条件
k += 1
p = -np.array(grad_vec)
# 迭代
X = np.array(X0) + t*p
t_func = f.subs(x1, X[0]).subs(x2, X[1])
t_min = zhudian(t_func)
X0 = np.array(X0) + t_min*p
grad_vec = grad(X0)
grad_length = grad_len(grad_vec)
print('grad_length', grad_length)
print('坐标', X0[0], X0[1])
data_x.append(X0[0])
data_y.append(X0[1])
print(k)
# 绘图
fig = plt.figure()
ax = axisartist.Subplot(fig, 111)
fig.add_axes(ax)
ax.axis["bottom"].set_axisline_style("-|>", size=1.5)
ax.axis["left"].set_axisline_style("->", size=1.5)
ax.axis["top"].set_visible(False)
ax.axis["right"].set_visible(False)
plt.title(r'$Gradient \ method - steepest \ descent \ method$')
plt.plot(data_x, data_y, label=r'$f(x_1,x_2)=x_1^2+2 \cdot x_2^2-2 \cdot x_1 \cdot x_2-2 \cdot x_2$')
plt.legend()
plt.scatter(1, 1, marker=(5, 1), c=5, s=1000)
plt.grid()
plt.xlabel(r'$x_1$', fontsize=20)
plt.ylabel(r'$x_2$', fontsize=20)
plt.show()
if __name__ == '__main__':
# 给定初始迭代点和阈值
main([0, 0], 0.00001)
最终结果图如下所示:

以上就是本文的全部内容,希望对大家的学习有所帮助,也希望大家多多支持脚本之家。