最近在看吴恩达的机器学习课程,自己用python实现了其中的logistic算法,并用梯度下降获取最优值。
logistic分类是一个二分类问题,而我们的线性回归函数

的取值在负无穷到正无穷之间,对于分类问题而言,我们希望假设函数的取值在0~1之间,因此logistic函数的假设函数需要改造一下

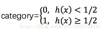
由上面的公式可以看出,0 < h(x) < 1,这样,我们可以以1/2为分界线

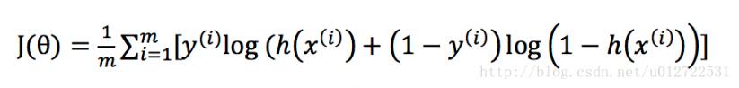
cost function可以这样定义

其中,m是样本的数量,初始时θ可以随机给定一个初始值,算出一个初始的J(θ)值,再执行梯度下降算法迭代,直到达到最优值,我们知道,迭代的公式主要是每次减少一个偏导量

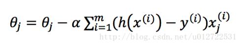
如果将J(θ)代入化简之后,我们发现可以得到和线性回归相同的迭代函数

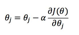
按照这个迭代函数不断调整θ的值,直到两次J(θ)的值差值不超过某个极小的值之后,即认为已经达到最优解,这其实只是一个相对较优的解,并不是真正的最优解。 其中,α是学习速率,学习速率越大,就能越快达到最优解,但是学习速率过大可能会让惩罚函数最终无法收敛,整个过程python的实现如下
import math
ALPHA = 0.3
DIFF = 0.00001
def predict(theta, data):
results = []
for i in range(0, data.__len__()):
temp = 0
for j in range(1, theta.__len__()):
temp += theta[j] * data[i][j - 1]
temp = 1 / (1 + math.e ** (-1 * (temp + theta[0])))
results.append(temp)
return results
def training(training_data):
size = training_data.__len__()
dimension = training_data[0].__len__()
hxs = []
theta = []
for i in range(0, dimension):
theta.append(1)
initial = 0
for i in range(0, size):
hx = theta[0]
for j in range(1, dimension):
hx += theta[j] * training_data[i][j]
hx = 1 / (1 + math.e ** (-1 * hx))
hxs.append(hx)
initial += (-1 * (training_data[i][0] * math.log(hx) + (1 - training_data[i][0]) * math.log(1 - hx)))
initial /= size
iteration = initial
initial = 0
counts = 1
while abs(iteration - initial) > DIFF:
print("第", counts, "次迭代, diff=", abs(iteration - initial))
initial = iteration
gap = 0
for j in range(0, size):
gap += (hxs[j] - training_data[j][0])
theta[0] = theta[0] - ALPHA * gap / size
for i in range(1, dimension):
gap = 0
for j in range(0, size):
gap += (hxs[j] - training_data[j][0]) * training_data[j][i]
theta[i] = theta[i] - ALPHA * gap / size
for m in range(0, size):
hx = theta[0]
for j in range(1, dimension):
hx += theta[j] * training_data[i][j]
hx = 1 / (1 + math.e ** (-1 * hx))
hxs[i] = hx
iteration += -1 * (training_data[i][0] * math.log(hx) + (1 - training_data[i][0]) * math.log(1 - hx))
iteration /= size
counts += 1
print('training done,theta=', theta)
return theta
if __name__ == '__main__':
training_data = [[1, 1, 1, 1, 0, 0], [1, 1, 0, 1, 0, 0], [1, 0, 1, 0, 0, 0], [0, 0, 0, 0, 1, 1], [0, 1, 0, 0, 0, 1],
[0, 0, 0, 0, 1, 1]]
test_data = [[0, 1, 0, 0, 0], [0, 0, 0, 0, 1]]
theta = training(training_data)
res = predict(theta, test_data)
print(res)
运行结果如下

以上这篇python实现logistic分类算法代码就是小编分享给大家的全部内容了,希望能给大家一个参考,也希望大家多多支持脚本之家。