正常来说backward( )函数是要传入参数的,一直没弄明白backward需要传入的参数具体含义,但是没关系,生命在与折腾,咱们来折腾一下,嘿嘿。
对标量自动求导
首先,如果out.backward()中的out是一个标量的话(相当于一个神经网络有一个样本,这个样本有两个属性,神经网络有一个输出)那么此时我的backward函数是不需要输入任何参数的。
import torch
from torch.autograd import Variable
a = Variable(torch.Tensor([2,3]),requires_grad=True)
b = a + 3
c = b * 3
out = c.mean()
out.backward()
print('input:')
print(a.data)
print('output:')
print(out.data.item())
print('input gradients are:')
print(a.grad)
运行结果:

不难看出,我们构建了这样的一个函数:

所以其求导也很容易看出:

这是对其进行标量自动求导的结果.
对向量自动求导
如果out.backward()中的out是一个向量(或者理解成1xN的矩阵)的话,我们对向量进行自动求导,看看会发生什么?
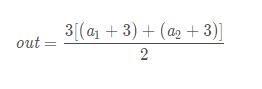
先构建这样的一个模型(相当于一个神经网络有一个样本,这个样本有两个属性,神经网络有两个输出):
import torch
from torch.autograd import Variable
a = Variable(torch.Tensor([[2.,4.]]),requires_grad=True)
b = torch.zeros(1,2)
b[0,0] = a[0,0] ** 2
b[0,1] = a[0,1] ** 3
out = 2 * b
#其参数要传入和out维度一样的矩阵
out.backward(torch.FloatTensor([[1.,1.]]))
print('input:')
print(a.data)
print('output:')
print(out.data)
print('input gradients are:')
print(a.grad)
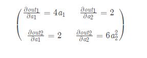
模型也很简单,不难看出out求导出来的雅克比应该是:

因为a1 = 2,a2 = 4,所以上面的矩阵应该是:

运行的结果:

嗯,的确是8和96,但是仔细想一想,和咱们想要的雅克比矩阵的形式也不一样啊。难道是backward自动把0给省略了?
咱们继续试试,这次在上一个模型的基础上进行小修改,如下:
import torch
from torch.autograd import Variable
a = Variable(torch.Tensor([[2.,4.]]),requires_grad=True)
b = torch.zeros(1,2)
b[0,0] = a[0,0] ** 2 + a[0,1]
b[0,1] = a[0,1] ** 3 + a[0,0]
out = 2 * b
#其参数要传入和out维度一样的矩阵
out.backward(torch.FloatTensor([[1.,1.]]))
print('input:')
print(a.data)
print('output:')
print(out.data)
print('input gradients are:')
print(a.grad)
可以看出这个模型的雅克比应该是:

运行一下:

等等,什么鬼?正常来说不应该是

么?我是谁?我再哪?为什么就给我2个数,而且是 8 + 2 = 10 ,96 + 2 = 98 。难道都是加的 2 ?想一想,刚才咱们backward中传的参数是 [ [ 1 , 1 ] ],难道安装这个关系对应求和了?咱们换个参数来试一试,程序中只更改传入的参数为[ [ 1 , 2 ] ]:
import torch
from torch.autograd import Variable
a = Variable(torch.Tensor([[2.,4.]]),requires_grad=True)
b = torch.zeros(1,2)
b[0,0] = a[0,0] ** 2 + a[0,1]
b[0,1] = a[0,1] ** 3 + a[0,0]
out = 2 * b
#其参数要传入和out维度一样的矩阵
out.backward(torch.FloatTensor([[1.,2.]]))
print('input:')
print(a.data)
print('output:')
print(out.data)
print('input gradients are:')
print(a.grad)

嗯,这回可以理解了,我们传入的参数,是对原来模型正常求导出来的雅克比矩阵进行线性操作,可以把我们传进的参数(设为arg)看成一个列向量,那么我们得到的结果就是:

在这个题目中,我们得到的实际是:

看起来一切完美的解释了,但是就在我刚刚打字的一刻,我意识到官方文档中说k.backward()传入的参数应该和k具有相同的维度,所以如果按上述去解释是解释不通的。哪里出问题了呢?
仔细看了一下,原来是这样的:在对雅克比矩阵进行线性操作的时候,应该把我们传进的参数(设为arg)看成一个行向量(不是列向量),那么我们得到的结果就是:

也就是:

这回我们就解释的通了。
现在我们来输出一下雅克比矩阵吧,为了不引起歧义,我们让雅克比矩阵的每个数值都不一样(一开始分析错了就是因为雅克比矩阵中有相同的数据),所以模型小改动如下:
import torch
from torch.autograd import Variable
a = Variable(torch.Tensor([[2.,4.]]),requires_grad=True)
b = torch.zeros(1,2)
b[0,0] = a[0,0] ** 2 + a[0,1]
b[0,1] = a[0,1] ** 3 + a[0,0] * 2
out = 2 * b
#其参数要传入和out维度一样的矩阵
out.backward(torch.FloatTensor([[1,0]]),retain_graph=True)
A_temp = copy.deepcopy(a.grad)
a.grad.zero_()
out.backward(torch.FloatTensor([[0,1]]))
B_temp = a.grad
print('jacobian matrix is:')
print(torch.cat( (A_temp,B_temp),0 ))
如果没问题的话咱们的雅克比矩阵应该是 [ [ 8 , 2 ] , [ 4 , 96 ] ]
好了,下面是见证奇迹的时刻了,不要眨眼睛奥,千万不要眨眼睛… 3 2 1 砰…

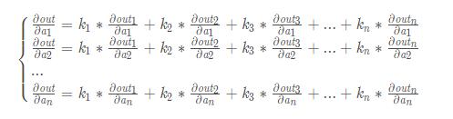
好了,现在总结一下:因为经过了复杂的神经网络之后,out中每个数值都是由很多输入样本的属性(也就是输入数据)线性或者非线性组合而成的,那么out中的每个数值和输入数据的每个数值都有关联,也就是说【out】中的每个数都可以对【a】中每个数求导,那么我们backward()的参数[k1,k2,k3…kn]的含义就是:

也可以理解成每个out分量对an求导时的权重。
对矩阵自动求导
现在,如果out是一个矩阵呢?
下面的例子也可以理解为:相当于一个神经网络有两个样本,每个样本有两个属性,神经网络有两个输出。
import torch
from torch.autograd import Variable
from torch import nn
a = Variable(torch.FloatTensor([[2,3],[1,2]]),requires_grad=True)
w = Variable( torch.zeros(2,1),requires_grad=True )
out = torch.mm(a,w)
out.backward(torch.FloatTensor([[1.],[1.]]),retain_graph=True)
print("gradients are:{}".format(w.grad.data))
如果前面的例子理解了,那么这个也很好理解,backward输入的参数k是一个2x1的矩阵,2代表的就是样本数量,就是在前面的基础上,再对每个样本进行加权求和。结果是:

如果有兴趣,也可以拓展一下多个样本的多分类问题,猜一下k的维度应该是【输入样本的个数 * 分类的个数】
好啦,纠结我好久的pytorch自动求导原理算是彻底搞懂啦~~~
以上这篇浅谈Pytorch中的自动求导函数backward()所需参数的含义就是小编分享给大家的全部内容了,希望能给大家一个参考,也希望大家多多支持脚本之家。