我就废话不多说了,直接上代码吧!
# 龙贝格法求积分
import math
a=0 # 积分下限
b=1 # 积分上限
eps=10**-5 # 精度
T=[] # 复化梯形序列
S=[] # Simpson序列
C=[] # Cotes序列
R=[] # Romberg序列
def func(x): # 被积函数
y=math.exp(-x)
return y
def Romberg(a,b,eps,func):
h = b - a
T.append(h * (func(a) + func(b)) / 2)
ep=eps+1
m=0
while(ep>=eps):
m=m+1
t=0
for i in range(2**(m-1)-1):
t=t+func(a+(2*(i+1)-1)*h/2**m)*h/2**m
t=t+T[-1]/2
T.append(t)
if m>=1:
S.append((4**m*T[-1]-T[-2])/(4**m-1))
if m>=2:
C.append((4**m*S[-1]-S[-2])/(4**m-1))
if m>=3:
R.append((4**m*C[-1]-C[-2])/(4**m-1))
if m>4:
ep=abs(10*(R[-1]-R[-2]))
Romberg(a,b,eps,func)
# print(T)
# print(S)
# print(C)
# print(R)
# 计算机参考值0.6321205588
print("积分结果为:{:.5f}".format(R[-1]))
补充拓展:python实现数值分析之龙贝格求积公式
复合梯形公式的提出:
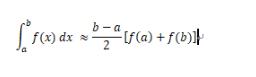
1.首先,什么是梯形公式:

梯形公式表明:f(x)在[a,b]两点之间的积分(面积),近似地可以用一个梯形的面积表示。
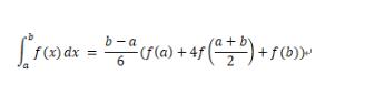
2.显然,这个梯形公式对于不同的f(x)而言,其代数精度不同。为了能适合更多的f(x),我们一般使用牛顿-科特斯公式其中比较高次的公式来进行数值求积。但高次的缺陷是当次数大于8次,求积公式就会不稳定。因此,我们用于数值积分的牛顿-科特斯公式通常是一次的梯形公式、二次的辛普森公式和4此的科特斯公式。
辛普森公式:

科特斯公式:

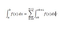
3.牛顿-科特斯公式次数高于8次不能用,但是低次公式又精度不够。解决办法就是使用:复合梯形求积公式。复合求积公式就是在区间[a,b]上划分n格小区间。一个大区间[a,b]上用一次梯形公式精度不够,那么在n个小区间都使用梯形公式,最后将小区间的和累加起来,就可以得到整个大区间[a,b]的积分近似值。
a = x0 < x1 <x2 …<xn-1 < xn =b

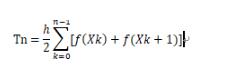
令Tn为将[a,b]划分n等分的复合梯形求积公式,h =(b-a)/n为小区间的长度。h/2类似于梯形公式中的(b-a)/2
注意:这里的k+1是下标

通过研究我们发现:T2n与Tn之间存在一些递推关系。
注意:这里的k+1/2是下标。并且其中的h/2是中的h是Tn(n等分中的h = (b-a)/n))

于是乎,我们可以一次推出T1,T2,T4,T8…T2n序列
引出这些之后,才是我们的主题:龙贝格求积公式
龙贝格求积公式的实质是用T2n序列构造,S2n序列,
再用S2n序列构造C2n序列
最后用C2n序列构造R2n序列。
编程实现,理解下面的几个公式即可。

python编程代码如下:
# coding=UTF-8
# Author:winyn
'''
给定一个函数,如:f(x)= x^(3/2),和积分上下限a,b,用机械求积Romberg公式求积分。
'''
import numpy as np
def func(x):
return x**(3/2)
class Romberg:
def __init__(self, integ_dowlimit, integ_uplimit):
'''
初始化积分上限integ_uplimit和积分下限integ_dowlimit
输入一个函数,输出函数在积分上下限的积分
'''
self.integ_uplimit = integ_uplimit
self.integ_dowlimit = integ_dowlimit
def calc(self):
'''
计算Richardson外推算法的四个序列
'''
t_seq1 = np.zeros(5, 'f')
s_seq2 = np.zeros(4, 'f')
c_seq3 = np.zeros(3, 'f')
r_seq4 = np.zeros(2, 'f')
# 循环生成hm间距序列
hm = [(self.integ_uplimit - self.integ_dowlimit) / (2 ** i) for i in range(0,5)]
print(hm)
# 循环生成t_seq1
fa = func(self.integ_dowlimit)
fb = func(self.integ_uplimit)
t0 = (1 / 2) * (self.integ_uplimit - self.integ_dowlimit) * (fa+fb)
t_seq1[0] = t0
for i in range(1, 5):
sum = 0
# 多出来的点的累加和
for each in range(1, 2**i,2):
sum =sum + hm[i]*func( self.integ_dowlimit+each * hm[i])#计算两项值
temp1 = 1 / 2 * t_seq1[i - 1]
temp2 =sum
temp = temp1 + temp2
# 求t_seql的1-4位
t_seq1[i] = temp
print('T序列:'+ str(list(t_seq1)))
# 循环生成s_seq2
s_seq2 = [round((4 * t_seq1[i + 1] - t_seq1[i]) / 3,6) for i in range(0, 4)]
print('S序列:' + str(list(s_seq2)))
# 循环生成c_seq3
c_seq3 = [round((4 ** 2 * s_seq2[i + 1] - s_seq2[i]) / (4 ** 2 - 1),6) for i in range(0, 3)]
print('C序列:' + str(list(c_seq3)))
# 循环生成r_seq4
r_seq4 = [round((4 ** 3 * c_seq3[i + 1] - c_seq3[i]) / (4 ** 3 - 1),6) for i in range(0, 2)]
print('R序列:' + str(list(r_seq4)))
return 'end'
rom = Romberg(0, 1)
print(rom.calc())
以上这篇Python龙贝格法求积分实例就是小编分享给大家的全部内容了,希望能给大家一个参考,也希望大家多多支持脚本之家。