大家还好吗?
背景就不用多说了吧?本来我是初四上班的,现在延长到2月10日了。这是我工作以来时间最长的一个假期了。可惜哪也去不了。待在家里,没啥事,就用python模拟预测一下新冠病毒肺炎的数据吧。要声明的是本文纯属个人自娱自乐,不代表真实情况。
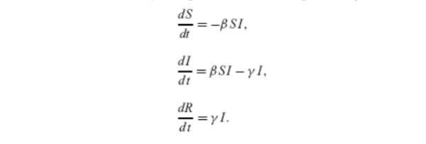
采用SIR模型,S代表易感者,I表示感染者,R表示恢复者。染病人群为传染源,通过一定几率把传染病传给易感人群,ta自己也有一定的几率被治愈并免疫,或死亡。易感人群一旦感染即成为新的传染源。
模型假设:
①不考虑人口出生、死亡、流动等情况,即人口数量保持常数。
②一个病人一旦与易感者接触就必然具有一定的传染力。假设 t 时刻单位时间内,一个病人能传染的易感者数目与此环境内易感者总数s(t)成正比,比例系数为β,从而在t时刻单位时间内被所有病人传染的人数为βs(t)i(t)。
③ t 时刻,单位时间内从染病者中移出的人数与病人数量成正比,比例系数为γ,单位时间内移出者的数量为γi(t)。
模型为

其中,β为感染系数,代表易感人群与传染源接触被感染的概率。γ为隔离(恢复)系数,我们对其倒数1/γ更感兴趣,代表了平均感染时间(average infectious period)。S(0)为初始易感人数,I(0)为初始感染人数。
按照[1]里面的代码模型的感染人数是这样的

现在的问题就是利用现有的数据找到新冠肺炎的β值,γ值等数据了。先把数据拔下来吧。从[3]上扒数据,由于数据不多,就手工完成吧。保存到csv文件里。
然后把数据作图

还有一个指标是再生数R0=β/γ,大于1时人群中大部分才被感染[4]。世卫组织1月23日的估计是R0在1.4到2.5之间[5],最新的根据前425例发病数据的估计值为2.2[6]。
文章[7]中的按一般病毒性肺炎恢复期25天计算得到的γ值为0.04。
关于β值和初始易感人群,[7]的作者采用的方法是先估计一个区间,然后用最小二乘法找到最佳参数,β≈3.57*10^-5。S[0]的范围为5000-30000人。[7]文章里有matlab代码,我用python改写一下,由于对最小二乘法法的实现比较陌生,尝试了半天,最后我决定用最笨的办法——穷举法。就是用两个嵌套循环将范围内所有β值和S0值都试一遍,计算每次尝试结果与实际数据之间差值的平方和,平方和最小的一组β值和S0值用来做预测。代码如下:
γ值设定为0.04,即一般病程25天
用最小二乘法估计β值和初始易感人数
gamma = 0.04
S0 = [i for i in range(20000, 40000, 1000)]
beta = [f for f in np.arange(1e-7, 1e-4, 1e-7)]
# 定义偏差函数
def error(res):
err = (data["感染者"] - res)**2
errsum = sum(err)
return errsum
# 穷举法,找出与实际数据差的平方和最小的S0和beta值
minSum = 1e10
minS0 = 0.0
minBeta = 0.0
bestRes = None
for S in S0:
for b in beta:
# 模型的差分方程
def diff_eqs_2(INP, t):
Y = np.zeros((3))
V = INP
Y[0] = -b * V[0] * V[1]
Y[1] = b * V[0] * V[1] - gamma * V[1]
Y[2] = gamma * V[1]
return Y
# 数值解模型方程
INPUT = [S, I0, 0.0]
RES = spi.odeint(diff_eqs_2, INPUT, t_range)
errsum = error(RES[:21, 1])
if errsum < minSum:
minSum = errsum
minS0 = S
minBeta = b
bestRes = RES
print("S0=%d beta=%f minErr=%f" % (S, b, errsum))
print("S0 = %d β = %f" % (minS0, minBeta))
结果 S0 = 39000, β = 8e-6
上述程序耗时较长,只在探索时执行,完了就注释掉,用最优参数进行预测。


预测最大感染人数:23769 时间是在1月10日的33天后,也就是2月12日。
本文代码:https://github.com/zwdnet/2019-nCov-SIRmodel
与[7]作者讨论,我的算法是将S0与β作为独立的两个变量用两个循环嵌套分别遍历,他的做法是用每个S0的值代入微分方程算出相应的β值。他的算法应该更好一些,我正在尝试。另外在微信公众号上看到一篇更系统的关于此次疫情的数学模型的文章:https://mp.weixin.qq.com/s/rgaJtA4jioLOCHs_oCauDg
再次声明:本文只是我个人在家无聊的游戏作品,不是正儿八经的预测。我也不是流行病学专业人士。祝疫情早日结束!武汉加油!中国加油!
以上所述是小编给大家介绍的python模拟预测一下新型冠状病毒肺炎的数据,希望对大家有所帮助!