Python 取numpy数组的某几行某几列方法

所属分类: 脚本专栏 / python 阅读数: 1350
收藏 0 赞 0 分享

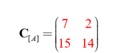
直接分析,如原矩阵如下(1):

这里写图片描述 

(1)

我们要截取的矩阵(取其一三行,和三四列数据构成矩阵)为如下(2):

这里写图片描述 

(2)

错误分析:

取 C 的1 3行,3 4 列,定义

Z = [0,2]  #定义行数
d = [2,3]  #定义列数

#代码
C_zd = C[z,d] 

则结果为:这里写图片描述
由结果分析取的是第一行第三列和第三行第四列的数据,并非我们想要的结果。

正确分析:

C_A = c[[0,2]]  #先取出想要的行数据
C_A = C_A[:,[2,3]] #再取出要求的列数据
print(C_A) #输出最终结果

结果为: 这里写图片描述

其结果即为我们求解的,需要两步才可完成。

以上就是本文的全部内容,希望对大家的学习有所帮助,也希望大家多多支持脚本之家。

更多精彩内容其他人还在看

Python实现按学生年龄排序的实际问题详解

这篇文章主要给大家介绍了关于Python实现按学生年龄排序实际问题的相关资料,文中通过示例代码介绍的非常详细,对大家的学习或者工作具有一定的参考学习价值,需要的朋友们下面跟着小编来一起学习学习吧。
收藏 0 赞 0 分享

Python开发的HTTP库requests详解

Requests是用Python语言编写,基于urllib,采用Apache2 Licensed开源协议的HTTP库。它比urllib更加方便,可以节约我们大量的工作,完全满足HTTP测试需求。Requests的哲学是以PEP 20 的习语为中心开发的,所以它比urllib更加P
收藏 0 赞 0 分享

Python网络爬虫与信息提取(实例讲解)

下面小编就为大家带来一篇Python网络爬虫与信息提取(实例讲解)。小编觉得挺不错的,现在就分享给大家,也给大家做个参考。一起跟随小编过来看看吧
收藏 0 赞 0 分享

在python3环境下的Django中使用MySQL数据库的实例

下面小编就为大家带来一篇在python3环境下的Django中使用MySQL数据库的实例。小编觉得挺不错的,现在就分享给大家,也给大家做个参考。一起跟随小编过来看看吧
收藏 0 赞 0 分享

Python 3.x读写csv文件中数字的方法示例

在我们日常开发中经常需要对csv文件进行读写,下面这篇文章主要给大家介绍了关于Python 3.x读写csv文件中数字的相关资料,文中通过示例代码介绍的非常详细,对大家具有一定的参考学习价值,需要的朋友们下面跟着小编来一起学习学习吧。
收藏 0 赞 0 分享

Python实现解析Bit Torrent种子文件内容的方法

这篇文章主要介绍了Python实现解析Bit Torrent种子文件内容的方法,结合实例形式分析了Python针对Torrent文件的读取与解析相关操作技巧与注意事项,需要的朋友可以参考下
收藏 0 赞 0 分享

Python实现文件内容批量追加的方法示例

这篇文章主要介绍了Python实现文件内容批量追加的方法,结合实例形式分析了Python文件的读写相关操作技巧,需要的朋友可以参考下
收藏 0 赞 0 分享

Python简单实现自动删除目录下空文件夹的方法

这篇文章主要介绍了Python简单实现自动删除目录下空文件夹的方法,涉及Python针对文件与目录的读取、判断、删除等相关操作技巧,需要的朋友可以参考下
收藏 0 赞 0 分享

简单学习Python多进程Multiprocessing

这篇文章主要和大家一起简单的学习Python多进程Multiprocessing ,具有一定的参考价值,感兴趣的小伙伴们可以参考一下
收藏 0 赞 0 分享

Python导入模块时遇到的错误分析

这篇文章主要给大家详细解释了在Python处理导入模块的时候出现错误以及具体的情况分析,非常的详尽,有需要的小伙伴可以参考下
收藏 0 赞 0 分享
查看更多