Python计算的位数
在电脑上做了一个实验,看看python能计算到多少位,一下是结果。
x = math.sqrt((3))
print ("%.53f"%(x))
print ("%.63f"%(x))
print ("%.83f"%(x))
1.73205080756887719317660412343684583902359008789062500 1.732050807568877193176604123436845839023590087890625000000000000 1.73205080756887719317660412343684583902359008789062500000000000000000000000000000000 1.73205080756887719317660412343684583902359008789062500000000000000000000000000000000
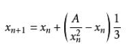
计算立方根公式
设A = X^3,求X.称为开立方。 开立方有一个标准的公式:

例如,A=5,,即求5介于1的3次方至2的3次方之间(1的3次方=1,2的3次方=8)
初始值X0可以取1.1,1.2,1.3,1.4,1.5,1.6,1.7,1.8,1.9,都可以。例如我们取X0 = 1.9按照公式:
第一步:X1=1.9+(5/1.9²-1.9)1/3=1.7;
即5/1.9×1.9=1.3850416,1.3850416-1.9=-0.5149584,-0.5149584×1/3=-0.1716528,1.9+(-0.1716528)=1.7。即取2位数值,,即1.7。
第二步:X2=1.7+(5/1.7²-1.7)1/3=1.71;
即5/1.7×1.7=1.73010,1.73-1.7=0.03,0.03×1/3=0.01,1.7+0.01=1.71。取3位数,比前面多取一位数。
第三步:X3=1.71+(5/1.71²-1.71)1/3=1.709;
第四步:X4=1.709+(5/1.709²-1.709)1/3=1.7099;
这种方法可以自动调节,第一步与第三步取值偏大,但是计算出来以后输出值会自动转小;第二步,第四步输入值偏小,输出值自动转大。即5=1.7099³ 当然初始值X0也可以取1.1,1.2,1.3,。。。1.8,1.9中的任何一个,都是X1 = 1.7 。当然,我们在实际中初始值最好采用中间值,即1.5。 1.5+(5/1.5²-1.5)1/3=1.7。
增加计算步骤,可以得到任意精度的值
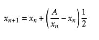
计算根号2任意位数
开平方公式
如果用这个公式开平方,只需将3改成2,2改成1。即

import sys n = 2 s = 0 while True: for si in range(9,-1,-1): nx = n - ((2*s*10+si)*si) if nx>=0: s = s*10+si n = nx*100 sys.stdout.write(str(si)) sys.stdout.flush() break
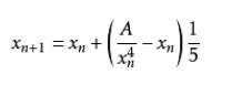
计算开5次方公式,精确至任意位数

计算圆周率任意位数
因为根据马青公式π/4=4arctg1/5-arctg1/239
又因为arctgX=X-(1/3)X^3+(1/5)X^5-(1/7)X^7+……+[(-1)^(n-1)/((2n-1)]*X^(2n-1))
变形得π/4=(4/5-1/239)-1/3(4/5^3-1/239^3)+1/5(4/5^5-1/239^5)……
所以可以用python语言编写出求圆周率到任意位的程序如下:
n = int(raw_input('请键入想要计算到小数点后的位数n:')) #先键入字符串,再转化为整数
w = n+10 #多计算10位,防止尾数取舍的影响
b = 10**w #算到小数点后w位
x1 = b*4//5 #求含4/5的首项
x2 = b// -239 #求含1/239的首项
he = x1+x2 #求第一大项
n *= 2 #设置下面循环的终点,即共计算n项
for i in xrange(3,n,2): #循环初值=3,末值2n,步长=2
x1 //= -25 #求每个含1/5的项及符号
x2 //= -57121 #求每个含1/239的项及符号
x = (x1+x2) // i #求两项之和
he += x #求总和
pai = he*4 #求出π
pai //= 10**10 #舍掉后十位
print pai #输出圆周率π的值,
以上这篇Python计算开方、立方、圆周率,精确到小数点后任意位的方法就是小编分享给大家的全部内容了,希望能给大家一个参考,也希望大家多多支持脚本之家。