Softmax回归函数是用于将分类结果归一化。但它不同于一般的按照比例归一化的方法,它通过对数变换来进行归一化,这样实现了较大的值在归一化过程中收益更多的情况。
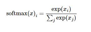
Softmax公式

Softmax实现方法1
import numpy as np
def softmax(x):
"""Compute softmax values for each sets of scores in x."""
pass # TODO: Compute and return softmax(x)
x = np.array(x)
x = np.exp(x)
x.astype('float32')
if x.ndim == 1:
sumcol = sum(x)
for i in range(x.size):
x[i] = x[i]/float(sumcol)
if x.ndim > 1:
sumcol = x.sum(axis = 0)
for row in x:
for i in range(row.size):
row[i] = row[i]/float(sumcol[i])
return x
#测试结果
scores = [3.0,1.0, 0.2]
print softmax(scores)
其计算结果如下:
[ 0.8360188 0.11314284 0.05083836]
Softmax实现方法2
import numpy as np def softmax(x): return np.exp(x)/np.sum(np.exp(x),axis=0) #测试结果 scores = [3.0,1.0, 0.2] print softmax(scores)
以上这篇Python下的Softmax回归函数的实现方法(推荐)就是小编分享给大家的全部内容了,希望能给大家一个参考,也希望大家多多支持脚本之家。