前言:

二叉树的特点(例图只是二叉树的一种情况,不要尝试用例图推理以下结论)

最下面一层的节点称为叶子节点,他们没有子节点;

左子节点的值 < 父节点的值 <= 右节点的值
1 节点的javascript实现
// 节点对象
function Node(data, left, right) {
this.data = data; // 节点值
this.left = left; // 当前节点的左子节点
this.right = right; // 当前节点的右子节点
this.show = show; // 辅助function
}
function show() {
return this.data;
}
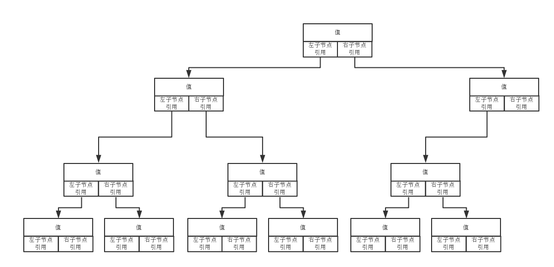
感受下上面实现节点的代码,感觉和链表有点相似不是吗,存着当前值,又存着下个节点(左、右子节点)的引用,下面是一张伪代码的草图:

2 二叉树的实现
实现二叉树,当然就是要插入节点构成二叉树,先看看实现二叉树的js代码
function BST() {
this.root = null;
this.insert = insert;
}
function insert(data) {
var n = new Node(data, null, null);
if (this.root == null) {
this.root = n;
}
else {
var current = this.root;
var parent;
while (true) {
parent = current;
if (data < current.data) {
current = current.left;
if (current == null) {
parent.left = n;
break;
}
}
else {
current = current.right;
if (current == null) {
parent.right = n;
break;
}
}
}
}
}
然后是看一下伪代码:
function BST() {
this.root = null; // 根节点
this.insert = insert;
}
function insert(data) {
// 初始化一个节点,为什么要将左右子节点的引用初始化为空呢,因为可能是叶子节点,加入他有子节点,会在下面的代码添加
var n = new Node(data, null, null);
if (该二叉树是否为空,是空则根节点为空,因此可以用根节点判断二叉树是否为空) {
// 将当前节点存为根节点
this.root = n;
}
else {
// 来到这里就表示,该二叉树不为空,这里关键的是两句代码:
// 0.while (true);
// 1.parent = current;
// 2.current = current.left;/current = current.right;
// 3.break;
var current = this.root;
var parent;
while (true) {
parent = current; // 获得父节点,第一次循环,那么父节点就是根节点
if (data < current.data) { // 当前节点值小于父节点的值就是存左边,记得二叉树的特点吧,如果真是小于父节点,那么就说明该节点属于,该父节点的左子树。
current = current.left;
if (current == null) {
parent.left = n;
break;
}
// 其实上面这样写不好理解,可以等价于下面的代码:
// start
if(current.left == null){ // 若果左节点空,那么这个空的节点就是我们要插入的位置
current.left = n;
break;
}else{
// 不空则继续往下一层找空节点(插入的位置)
current = current.left;
}
// end
}
else {
// 右节点的逻辑代码个左节点的一样的
current = current.right;
if (current == null) {
parent.right = n;
break;
}
}
}
}
}
下面是一个更好理解的插入函数
function insert(data) {
var n = new Node(data, null, null);
if (this.root == null) {
this.root = n;
}
else {
var current = this.root;
// start change
while (true) {
if (data < current.data) {
if (current.left == null) {
current.left = n;
break;
}else{
current = current.left;
}
}else {
if (current.right == null) {
current.right = n;
break;
}else{
current = current.right;
}
}
}
}
}
小结:
二叉树的实现的三个部件
Node对象
function Node(data, left, right) { ... }
BST对象
function BST() { ... }
插入节点函数
function insert(data) { ... }
以上就是本文的全部内容,希望对大家的学习有所帮助,也希望大家多多支持脚本之家。