系列简介
也许,三百年前的艾萨克·牛顿爵士(Sir Issac Newton, 1643-1727)并没幻想过,物理学广泛地应用在今天许多游戏、动画中。为什么在这些应用中要使用物理学?笔者认为,自我们出生以来,一直感受着物理世界的规律,意识到物体在这世界是如何"正常移动",例如射球时球为抛物线(自旋的球可能会做成弧线球) 、石子系在一根线的末端会以固定频率摆动等等。要让游戏或动画中的物体有真实感,其移动方式就要符合我们对"正常移动"的预期。
今天的游戏动画应用了多种物理模拟技术,例如运动学模拟(kinematics simulation)、刚体动力学模拟(rigid body dynamics simulation)、绳子/布料模拟(string/cloth simulation)、柔体动力学模拟(soft body dynamics simulation)、流体动力学模拟(fluid dynamics simulation)等等。另外碰撞侦测(collision detection)是许多模拟系统里所需的。
本系列希望能介绍一些这方面最基础的知识,继续使用JavaScript做例子,以即时互动方式体验。
本文简介
作为系列第一篇,本文介绍最简单的运动学模拟,只有两条非常简单的公式。运动学模拟可以用来模拟很多物体运动(例如马里奥的跳跃、炮弹等),本文将会配合粒子系统做出一些视觉特效(粒子系统其实也可以用来做游戏的玩法,而不单是视觉特效)。
运动学模拟
运动学(kinematics)研究物体的移动,和动力学(dynamics)不同之处,在于运动学不考虑物体的质量(mass)/转动惯量(moment of inertia),以及不考虑加之于物体的力(force )和力矩(torque)。
我们先回忆牛顿第一运动定律:
当物体不受外力作用,或所受合力为零时,原先静止者恒静止,原先运动者恒沿着直线作等速度运动。该定律又称为「惯性定律」。此定律指出,每个物体除了其位置(position)外,还有一个线性速度(linear velocity)的状态。然而,只模拟不受力影响的物体并不有趣。撇开力的概念,我们可以用线性加速度(linear acceleration)去影响物体的运动。例如,要计算一个自由落体在任意时间t的y轴座标,可以使用以下的分析解(analytical solution):

当中,和分别是t=0时的y轴起始座标和速度,而g则是重力加速度(gravitational acceleration)。
这分析解虽然简单,但是有一些缺点,例如g是常数,在模拟过程中不能改变;另外,当物体遇到障碍物,产生碰撞时,这公式也很难处理这种不连续性(discontinuity) 。
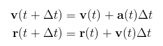
在计算机模拟中,通常需要计算连续的物体状态。用游戏的用语,就是计算第一帧的状态、第二帧的状态等等。设物体在任意时间t的状态:位置矢量为、速度矢量为、加速度矢量为。我们希望从时间的状态,计算下一个模拟时间的状态。最简单的方法,是采用欧拉方法(Euler method)作数值积分(numerical integration):

欧拉方法非常简单,但有准确度和稳定性问题,本文会先忽略这些问题。本文的例子采用二维空间,我们先实现一个JavaScript二维矢量类:
// Vector2.js
Vector2 = function(x, y) { this.x = x; this.y = y; };
Vector2.prototype = {
copy : function() { return new Vector2(this.x, this.y); },
length : function() { return Math.sqrt(this.x * this.x + this.y * this.y); },
sqrLength : function() { return this.x * this.x + this.y * this.y; },
normalize : function() { var inv = 1/this.length(); return new Vector2(this.x * inv, this.y * inv); },
negate : function() { return new Vector2(-this.x, -this.y); },
add : function(v) { return new Vector2(this.x + v.x, this.y + v.y); },
subtract : function(v) { return new Vector2(this.x - v.x, this.y - v.y); },
multiply : function(f) { return new Vector2(this.x * f, this.y * f); },
divide : function(f) { var invf = 1/f; return new Vector2(this.x * invf, this.y * invf); },
dot : function(v) { return this.x * v.x + this.y * v.y; }
};
Vector2.zero = new Vector2(0, 0);
然后,就可以用HTML5 Canvas去描绘模拟的过程:
var position = new Vector2(10, 200);
var velocity = new Vector2(50, -50);
var acceleration = new Vector2(0, 10);
var dt = 0.1;
function step() {
position = position.add(velocity.multiply(dt));
velocity = velocity.add(acceleration.multiply(dt));
ctx.strokeStyle = "#000000";
ctx.fillStyle = "#FFFFFF";
ctx.beginPath();
ctx.arc(position.x, position.y, 5, 0, Math.PI*2, true);
ctx.closePath();
ctx.fill();
ctx.stroke();
}
start("kinematicsCancas", step);
<button onclick="eval(document.getElementById('kinematicsCode').value)" type="button">Run</button>
<button onclick="stop();" type="button">Stop</button>
<button onclick="clearCanvas();" type="button">Clear</button>
<table border="0" style="width: 100%;">
<tbody>
<tr>
<td><canvas id="kinematicsCancas" width="400" height="400"></canvas></td>
<td width="10"> </td>
<td width="100%" valign="top">
<h4>修改代码试试看</h4>
<li>改变起始位置</li>
<li>改变起始速度(包括方向) </li>
<li>改变加速度</li>
</td>
</tr>
</tbody>
</table>
这程序的核心就是step()函数头两行代码。很简单吧?
粒子系统
粒子系统(particle system)是图形里常用的特效。粒子系统可应用运动学模拟来做到很多不同的效果。粒子系统在游戏和动画中,常常会用来做雨点、火花、烟、爆炸等等不同的视觉效果。有时候,也会做出一些游戏性相关的功能,例如敌人被打败后会发出一些闪光,主角可以把它们吸收。
粒子的定义
粒子系统模拟大量的粒子,并通常用某些方法把粒子渲染。粒子通常有以下特性:
<li>粒子是独立的,粒子之间互不影响(不碰撞、没有力) </li>
<li>粒子有生命周期,生命结束后会消失</li>
<li>粒子可以理解为空间的一个点,有时候也可以设定半径作为球体和环境碰撞</li>
<li>粒子带有运动状态,也有其他外观状态(例如颜色、影像等) </li>
<li>粒子可以只有线性运动,而不考虑旋转运动(也有例外) </li>
以下是本文例子里实现的粒子类:
// Particle.js
Particle = function(position, velocity, life, color, size) {
this.position = position;
this.velocity = velocity;
this.acceleration = Vector2.zero;
this.age = 0;
this.life = life;
this.color = color;
this.size = size;
};
游戏循环
粒子系统通常可分为三个周期:
发射粒子
模拟粒子(粒子老化、碰撞、运动学模拟等等)
渲染粒子
在游戏循环(game loop)中,需要对每个粒子系统执行以上的三个步骤。
生与死
在本文的例子里,用一个JavaScript数组particles储存所有活的粒子。产生一个粒子只是把它加到数组末端。代码片段如下:
//ParticleSystem.js
function ParticleSystem() {
// Private fields
var that = this;
var particles = new Array();
// Public fields
this.gravity = new Vector2(0, 100);
this.effectors = new Array();
// Public methods
this.emit = function(particle) {
particles.push(particle);
};
// ...
}
粒子在初始化时,年龄(age)设为零,生命(life)则是固定的。年龄和生命的单位都是秒。每个模拟步,都会把粒子老化,即是把年龄增加<span class="math">\Delta t</span>,年龄超过生命,就会死亡。代码片段如下:
function ParticleSystem() {
// ...
this.simulate = function(dt) {
aging(dt);
applyGravity();
applyEffectors();
kinematics(dt);
};
// ...
// Private methods
function aging(dt) {
for (var i = 0; i < particles.length; ) {
var p = particles[i];
p.age += dt;
if (p.age >= p.life)
kill(i);
else
i++;
}
}
function kill(index) {
if (particles.length > 1)
particles[index] = particles[particles.length - 1];
particles.pop();
}
// ...
}
在函数kill()里,用了一个技巧。因为粒子在数组里的次序并不重要,要删除中间一个粒子,只需要复制最末的粒子到那个元素,并用pop()移除最末的粒子就可以。这通常比直接删除数组中间的元素快(在C++中使用数组或std::vector亦是)。
运动学模拟
把本文最重要的两句运动学模拟代码套用至所有粒子就可以。另外,每次模拟会先把引力加速度写入粒子的加速度。这样做是为了将来可以每次改变加速度(续篇会谈这方面)。
function ParticleSystem() {
// ...
function applyGravity() {
for (var i in particles)
particles[i].acceleration = that.gravity;
}
function kinematics(dt) {
for (var i in particles) {
var p = particles[i];
p.position = p.position.add(p.velocity.multiply(dt));
p.velocity = p.velocity.add(p.acceleration.multiply(dt));
}
}
// ...
}
渲染
粒子可以用很多不同方式渲染,例如用圆形、线段(当前位置和之前位置)、影像、精灵等等。本文采用圆形,并按年龄生命比来控制圆形的透明度,代码片段如下:
function ParticleSystem() {
// ...
this.render = function(ctx) {
for (var i in particles) {
var p = particles[i];
var alpha = 1 - p.age / p.life;
ctx.fillStyle = "rgba("
+ Math.floor(p.color.r * 255) + ","
+ Math.floor(p.color.g * 255) + ","
+ Math.floor(p.color.b * 255) + ","
+ alpha.toFixed(2) + ")";
ctx.beginPath();
ctx.arc(p.position.x, p.position.y, p.size, 0, Math.PI * 2, true);
ctx.closePath();
ctx.fill();
}
}
// ...
}
基本粒子系统完成
以下的例子里,每帧会发射一个粒子,其位置在画布中间(200,200),发射方向是360度,速率为100,生命为1秒,红色、半径为5象素。
var ps = new ParticleSystem();
var dt = 0.01;
function sampleDirection() {
var theta = Math.random() * 2 * Math.PI;
return new Vector2(Math.cos(theta), Math.sin(theta));
}
function step() {
ps.emit(new Particle(new Vector2(200, 200), sampleDirection().multiply(100), 1, Color.red, 5));
ps.simulate(dt);
clearCanvas();
ps.render(ctx);
}
start("basicParticleSystemCanvas", step);
<button onclick="eval(document.getElementById('basicParticleSystemCode').value)" type="button">Run</button>
<button onclick="stop();" type="button">Stop</button>
<table border="0" style="width: 100%;">
<tbody>
<tr>
<td><canvas id="basicParticleSystemCanvas" width="400" height="400"></canvas></td>
<td width="10"> </td>
<td width="100%" valign="top">
<h4>修改代码试试看</h4>
<li>改变发射位置</li>
<li>向上发射,发射范围在90度内</li>
<li>改变生命</li>
<li>改变半径</li>
<li>每帧发射5个粒子</li>
</td>
</tr>
</tbody>
</table>
简单碰撞
为了说明用数值积分相对于分析解的优点,本文在粒子系统上加简单的碰撞。我们想加入一个需求,当粒子碰到长方形室(可设为整个Canvas大小)的内壁,就会碰撞反弹,碰撞是完全弹性的(perfectly elastic collision)。
在程序设计上,我把这功能用回调方式进行。 ParticleSystem类有一个effectors数组,在进行运动学模拟之前,先执行每个effectors对象的apply()函数:
而长方形室就这样实现:
// ChamberBox.js
function ChamberBox(x1, y1, x2, y2) {
this.apply = function(particle) {
if (particle.position.x - particle.size < x1 || particle.position.x + particle.size > x2)
particle.velocity.x = -particle.velocity.x;
if (particle.position.y - particle.size < y1 || particle.position.y + particle.size > y2)
particle.velocity.y = -particle.velocity.y;
};
}
这其实就是当侦测到粒子超出内壁的范围,就反转该方向的速度分量。
此外,这例子的主循环不再每次把整个Canvas清空,而是每帧画一个半透明的黑色长方形,就可以模拟动态模糊(motion blur)的效果。粒子的颜色也是随机从两个颜色中取样。
var ps = new ParticleSystem();
ps.effectors.push(new ChamberBox(0, 0, 400, 400)); // 最重要是多了这语句
var dt = 0.01;
function sampleDirection(angle1, angle2) {
var t = Math.random();
var theta = angle1 * t + angle2 * (1 - t);
return new Vector2(Math.cos(theta), Math.sin(theta));
}
function sampleColor(color1, color2) {
var t = Math.random();
return color1.multiply(t).add(color2.multiply(1 - t));
}
function step() {
ps.emit(new Particle(new Vector2(200, 200), sampleDirection(Math.PI * 1.75, Math.PI * 2).multiply(250), 3, sampleColor(Color.blue, Color.purple), 5));
ps.simulate(dt);
ctx.fillStyle="rgba(0, 0, 0, 0.1)";
ctx.fillRect(0,0,canvas.width,canvas.height);
ps.render(ctx);
}
start("collisionChamberCanvas", step);
<button onclick="eval(document.getElementById('collisionChamberCode').value)" type="button">Run</button>
<button onclick="stop();" type="button">Stop</button>
<canvas id="collisionChamberCanvas" width="400" height="400"></canvas>
互动发射
最后一个例子加入互动功能,在鼠标位置发射粒子,粒子方向是按鼠标移动速度再加上一点噪音(noise)。粒子的大小和生命都加入了随机性。
var ps = new ParticleSystem();
ps.effectors.push(new ChamberBox(0, 0, 400, 400));
var dt = 0.01;
var oldMousePosition = Vector2.zero, newMousePosition = Vector2.zero;
function sampleDirection(angle1, angle2) {
var t = Math.random();
var theta = angle1 * t + angle2 * (1 - t);
return new Vector2(Math.cos(theta), Math.sin(theta));
}
function sampleColor(color1, color2) {
var t = Math.random();
return color1.multiply(t).add(color2.multiply(1 - t));
}
function sampleNumber(value1, value2) {
var t = Math.random();
return value1 * t + value2 * (1 - t);
}
function step() {
var velocity = newMousePosition.subtract(oldMousePosition).multiply(10);
velocity = velocity.add(sampleDirection(0, Math.PI * 2).multiply(20));
var color = sampleColor(Color.red, Color.yellow);
var life = sampleNumber(1, 2);
var size = sampleNumber(2, 4);
ps.emit(new Particle(newMousePosition, velocity, life, color, size));
oldMousePosition = newMousePosition;
ps.simulate(dt);
ctx.fillStyle="rgba(0, 0, 0, 0.1)";
ctx.fillRect(0,0,canvas.width,canvas.height);
ps.render(ctx);
}
start("interactiveEmitCanvas", step);
canvas.onmousemove = function(e) {
if (e.layerX || e.layerX == 0) { // Firefox
e.target.style.position='relative';
newMousePosition = new Vector2(e.layerX, e.layerY);
}
else
newMousePosition = new Vector2(e.offsetX, e.offsetY);
};
<button onclick="eval(document.getElementById('interactiveEmitCode').value)" type="button">Run</button>
<button onclick="stop();" type="button">Stop</button>
<canvas id="interactiveEmitCanvas" width="400" height="400"></canvas>
总结
本文介绍了最简单的运动学模拟,使用欧拉方法作数值积分,并以此法去实现一个有简单碰撞的粒子系统。本文的精华其实只有两条简单公式(只有两个加数和两个乘数),希望让读者明白,其实物理模拟可以很简单。虽然本文的例子是在二维空间,但这例子能扩展至三维空间,只须把Vector2换成Vector3。本文完整源代码可
下载。
续篇会谈及在此基础上加入其他物理现象,有机会再加入其他物理模拟课题。希望各位支持,并给本人更多意见。