用HTML5制作一个简单的弹力球游戏

所属分类: 网页制作 / html5 阅读数: 1351
收藏 0 赞 0 分享

学canvas学了有一个多礼拜了,觉得canvas真心好玩。学canvas的人想法估计都跟我差不多,抱着写游戏的态度去学canvas的。所以运动学啊、碰撞检测啊、一些简单的算法神马的是基础啊。以前没做过游戏的我学起来还真心吃力。今天就来说下用canvas写个最简单的弹力球游戏,就运用了最简单的重力作用以及碰撞检测。

  先上DEMO:弹力球DEMO (鼠标点击canvas里的空白区域会给与小球新速度)

  【创建小球对象】

  第一步就是先创建一个小球对象,写好小球的构造函数:

复制代码
代码如下:

var Ball = function(x , y , r , color){
this.x = x;
this.y = y;
this.oldx = x;
this.oldy = y;
this.vx = 0;
this.vy = 0;this.radius = r;
this.color = color;
}

 

  小球属性很简单,xy是小球的坐标,vx和vy是小球的初始水平速度和初始垂直速度。radius就是小球的半径,color是小球颜色(为了区分不同球),oldx和oldy是记录小球的上一帧的位置,后期球与球之间碰撞后用于位置修正(后面其实没用上,位置修正直接计算了,如果用oldx来设置很不严谨,不过记录一下,难免会用得到)。

  小球属性写好后,就在小球原型中写小球的动作了:

复制代码
代码如下:

Ball.prototype = {
paint:function(){
ctx.save();
ctx.beginPath();
ctx.arc(this.x , this.y , this.radius , 0 , Math.PI*2);
ctx.fillStyle=this.color;
ctx.fill();
ctx.restore();
this.moving = false;
},
run:function(t){
if(!this.candrod) {
this.paint();
return};
this.oldx = this.x;
this.oldy = this.y;</p> <p>
if(Math.abs(this.vx) < 0.01){
this.vx = 0;
}
else this.vx += this.vx>0? -mocali*t : mocali*t;</p> <p> this.vy = this.vy + g * t;

this.x += t * this.vx * pxpm;
this.y += t * this.vy * pxpm;</p> <p> if(this.y > canvas.height - ballRadius || this.y < ballRadius){
this.y = this.y < ballRadius ? ballRadius : (canvas.height - ballRadius);
this.vy = -this.vy*collarg
}
if(this.x > canvas.width - ballRadius || this.x < ballRadius){
this.x = this.x < ballRadius ? ballRadius : (canvas.width - ballRadius);
this.derectionX = !this.derectionX;
this.vx = -this.vx*collarg;
}
this.paint();
},</p> <p> }

  小球的动作方法也很简单,就两个,第一个方法是把自己画出来,第二个方法就是控制小球的运动。t是当前帧与上一帧的时间差。用于计算小球的速度的增量从而得出小球的位移增量,从而计算出小球的新位置并且将小球重绘。得出新位置的同时判断小球的新位置有无超出墙壁,如果超出则进行速度修正让小球反弹。

  第二个方法里的一些常量ballRadius =30, g = 9.8 , mocali = 0.5,balls = [],collarg = 0.8,pxpm = canvas.width/20; 意思很明显:ballradius是球半径,g是重力加速度,mocali是空气阻力引起的水平方向的减速度,balls是一个用于存放小球对象的数组,collarg是弹力系数。pxpm是像素与米之间的映射,把画布当成是20米宽的区域。

  【碰撞检测】

  创建好小球对象后,就开始写碰撞了,小球与小球之间的碰撞:

复制代码
代码如下:

function collision(){
for(var i=0;i<balls.length;i++){
for(var j=0;j<balls.length;j++){
var b1 = balls[i],b2 = balls[j];
if(b1 !== b2){
var rc = Math.sqrt(Math.pow(b1.x - b2.x , 2) + Math.pow(b1.y - b2.y , 2));
if(Math.ceil(rc) < (b1.radius + b2.radius)){</p> <p> //获得碰撞后速度的增量
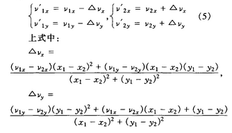
var ax = ((b1.vx - b2.vx)*Math.pow((b1.x - b2.x) , 2) + (b1.vy - b2.vy)*(b1.x - b2.x)*(b1.y - b2.y))/Math.pow(rc , 2)
var ay = ((b1.vy - b2.vy)*Math.pow((b1.y - b2.y) , 2) + (b1.vx - b2.vx)*(b1.x - b2.x)+(b1.y - b2.y))/Math.pow(rc , 2)</p> <p> //给与小球新的速度
b1.vx = (b1.vx-ax)*collarg;
b1.vy = (b1.vy-ay)*collarg;
b2.vx = (b2.vx+ax)*collarg;
b2.vy = (b2.vy+ay)*collarg;</p> <p> //获取两球斜切位置并且强制扭转
var clength = ((b1.radius+b2.radius)-rc)/2;
var cx = clength * (b1.x-b2.x)/rc;
var cy = clength * (b1.y-b2.y)/rc;
b1.x = b1.x+cx;
b1.y = b1.y+cy;
b2.x = b2.x-cx;
b2.y = b2.y-cy;
}
}
}
}
}</p> <p>

  每一帧都进行小球之间碰撞的判断,如果两个小球球心距离小于两球半径之和,则证明两个小球发生了碰撞。然后进行计算两个小球碰撞之后的速度变化量。ax和ay就是速度变化量。 
后面长长的公式就是这个:
2015512173816364.png (334×192)

具体原理我就不说了,想了解原理就直接戳 小球碰撞的算法设计 。 下面那段就是防止小球重复碰撞检测导致无法正常反弹,所以计算两小球的球心距离,然后算出两个小球的斜切位置,并且将两个小球的位置进行更正。

  【运动动画】

  最后一步:

复制代码
代码如下:
</p> <p>canvas.onclick = function(event){
event = event || window.event;
var x = event.clientX + document.body.scrollLeft + document.documentElement.scrollLeft - canvas.offsetLeft;
var y= event.clientY + document.body.scrollTop + document.documentElement.scrollTop - canvas.offsetTop;</p> <p> balls.forEach(function(){
this.vx = (x - this.x)/20; //初速度 m/s
this.vy = (y - this.y)/20;
});
}</p> <p> </p> <p> function animate(){
ctx.save();
ctx.fillStyle = "rgba(255,255,255,0.2)";
ctx.fillRect(0,0,canvas.width,canvas.height)
ctx.restore();
// ctx.clearRect(0,0,canvas.width,canvas.height)</p> <p> var t1 = new Date();
var t = (t1 - t0)/1000;
collision();
balls.forEach(function(){
this.run(t);
});

t0 = t1;</p> <p> if("requestAnimationFrame" in window){
requestAnimationFrame(animate);
}
else if("webkitRequestAnimationFrame" in window){
webkitRequestAnimationFrame(animate);
}
else if("msRequestAnimationFrame" in window){
msRequestAnimationFrame(animate);
}
else if("mozRequestAnimationFrame" in window){
mozRequestAnimationFrame(animate);
}
}
}</p> <p>

 

通过点击画布的位置来给于小球初速度,然后animate就是动画的每一帧运行的方法。上面的 ctx.fillStyle = "rgba(255,255,255,0.2)"; ctx.fillRect(0,0,canvas.width,canvas.height)是给小球添加虚影,我觉得这样会更好看,如果觉得不喜欢,就直接用clearRect清除就行了。然后就是计算每一帧的时间差,然后对小球数组里小球数组进行遍历重绘。然后再加入碰撞检测的collision方法。动画也就做完了。

  至此,就已经写完了,源码地址:

  https://github.com/whxaxes/canvas-test/blob/gh-pages/src/Other-demo/shotBall.html

更多精彩内容其他人还在看

突袭HTML5之Javascript API扩展5—其他扩展(应用缓存/服务端消息/桌面通知)

前面已经总结了主要的API扩展(应用缓存/服务端消息/桌面通知),下面的几个只有在特定的场合才能发挥它的潜质,无一例外,IE均不支持,桌面通知目前只有Chrome支持,感兴趣的朋友可以了解下,或许对你有所帮助
收藏 0 赞 0 分享

HTML5之HTML元素扩展(上)—新增加的元素及使用概述

HTML5中加入了全新的结构型元素,例如页眉header,页脚footer,导航nav,内容article,章节section等除了这种整个页面的结构型元素,html5也加入了块级别的语义元素,感兴趣的朋友可以了解下,或许对你有所帮助
收藏 0 赞 0 分享

HTML5之HTML元素扩展(下)—增强的Form表单元素值得关注

在HTML5增强的元素中,最值得关注的就是表单元素;在HTML5中,表单已经做了重大的修整,一些以前需要通过JavaScript编码实现的功能现在无需编码就可轻松实现,感兴趣的朋友可以详细了解下,或许对你有所帮助
收藏 0 赞 0 分享

HTML5之WebGL 3D概述(上)—WebGL原生开发开启网页3D渲染新时代

WebGL开启了网页3D渲染的新时代,它允许在canvas中直接渲染3D的内容,而不借助任何插件,看到此处是不是感觉特别惊讶啊,WebGL有一个很好的中文教程,就是下面使用参考中的第一个链接,所以这里不再班门弄斧,后面的内容只是简单的总结一下学习的内容,感兴趣的朋友可以了
收藏 0 赞 0 分享

HTML5之WebGL 3D概述(下)—借助类库开发及框架介绍

前面我们看到了使用原生的WebGL API开发是多么的累,只因如此大量的WebGL框架被开发出来,这些框架不同程度的封装了创建3D场景的各种要素你可以快速创建需要的3D场景,感兴趣的朋友可以了解下,或许本文对你有所帮助
收藏 0 赞 0 分享

HTML中fieldset标签概述及使用方法

之前HTML没有好好学,导致以前看到控件组样式感觉很新奇,fieldset> 标签将表单内容的一部分打包,生成一组相关表单的字段,接下来对HTML中fieldset标签的使用进行详细解读,感兴趣的朋友可以了解下,或许对你有所帮助
收藏 0 赞 0 分享

HTML5中微数据概述及在搜索引擎中的使用举例

HTML5微数据规范是标记内容的一种方式,用于描述特定的信息类型,例如评论、人物信息或活动。微数据使用 HTML 标记(常为 span>或 div)中的简单属性为项和属性指定简要的描述性名称
收藏 0 赞 0 分享

html5新增的属性和废除的属性简要概述

HTML5中,在新增加和废除很多元素的同时,也增加和废除了很多属性比如表单相关的属性/链接相关属性是新增的而HTML4中一些属性就被废除掉了,感兴趣的你可以了解下,或许对你学习html5有所帮助
收藏 0 赞 0 分享

html5的新增的标签和废除的标签简要概述

HTML5中在新增加和废除很多标签的同时,也增加和废除了很多标签比如新增的结构标签:section元素/video元素等等,感兴趣的朋友可以了解下,希望本文的知识点对你有所帮助
收藏 0 赞 0 分享

html5配合css3实现带提示文字的输入框(摆脱js)

webkit特有的一个css,可以控制里面的文字样式,配合css3的动画效果和伪类,我们就可以很容易做出一个带动画的输入框,在系统登录、搜索等位置很适合,感兴趣的你可以参考下本文或许可以帮助到你
收藏 0 赞 0 分享
查看更多