起因:
有些时候自家APP中嵌入的H5页面并不是自家的。但是很多时候又想在H5不知情的情况下获取H5内部请求的参数,这应该怎么做到呢?
带着这个疑问,就有了这篇博客。
实现过程:
方案一:
最开始想到的方案是直接拦截H5中所有的请求:
webView.setWebViewClient(new WebViewClient() {
@Override
public WebResourceResponse shouldInterceptRequest(WebView view, WebResourceRequest request) {
try {
URL url = new URL(request.getUrl());
} catch (MalformedURLException e) {
e.printStackTrace();
}
Log.e("InternetActivity", request + "");
return super.shouldInterceptRequest(view, request);
}
});
但是通过此方法只能获取get请求的参数(因为参数直接拼在了url链接中),对于post请求的参数无可奈何。
方案二:
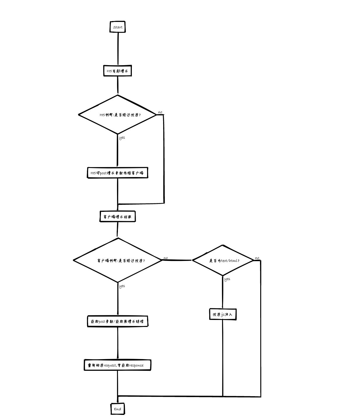
后来参考了request_data_webviewclient,有了新的实现方式,具体原理为:给H5注入一段js代码,目的是在每次Ajax请求都会调用Android原生的方法,将请求参数传给客户端。
具体流程如下:

其中,
js注入代码:
<script language="JavaScript">
function generateRandom() {
return Math.floor((1 + Math.random()) * 0x10000)
.toString(16)
.substring(1);
}
// This only works if `open` and `send` are called in a synchronous way
// That is, after calling `open`, there must be no other call to `open` or
// `send` from another place of the code until the matching `send` is called.
requestID = null;
XMLHttpRequest.prototype.reallyOpen = XMLHttpRequest.prototype.open;
XMLHttpRequest.prototype.open = function(method, url, async, user, password) {
requestID = generateRandom()
var signed_url = url + "AJAXINTERCEPT" + requestID;
this.reallyOpen(method, signed_url , async, user, password);
};
XMLHttpRequest.prototype.reallySend = XMLHttpRequest.prototype.send;
XMLHttpRequest.prototype.send = function(body) {
interception.customAjax(requestID, body);
this.reallySend(body);
};
</script>
客户端拦截请求:
@Override
public final WebResourceResponse shouldInterceptRequest(final WebView view, WebResourceRequest request) {
String requestBody = null;
Uri uri = request.getUrl();
// 判断是否为Ajax请求(只要链接中包含AJAXINTERCEPT即是)
if (isAjaxRequest(request)) {
// 获取post请求参数
requestBody = getRequestBody(request);
// 获取原链接
uri = getOriginalRequestUri(request, MARKER);
}
// 重新构造请求,并获取response
WebResourceResponse webResourceResponse = shouldInterceptRequest(view, new WriteHandlingWebResourceRequest(request, requestBody, uri));
if (webResourceResponse == null) {
return webResourceResponse;
} else {
return injectIntercept(webResourceResponse, view.getContext());
}
}
客户端注入js代码:
private WebResourceResponse injectIntercept(WebResourceResponse response, Context context) {
String encoding = response.getEncoding();
String mime = response.getMimeType();
// WebResourceResponse的mime必须为"text/html",不能是"text/html; charset=utf-8"
if (mime.contains("text/html")) {
mime = "text/html";
}
InputStream responseData = response.getData();
InputStream injectedResponseData = injectInterceptToStream(
context,
responseData,
mime,
encoding
);
return new WebResourceResponse(mime, encoding, injectedResponseData);
}
注:根据谷歌官方文档,mime必须为"text/html"。

反思:
•开发过程中遇到了页面一直显示不了的问题,实际上就是因为获取到的mime是"text/html; charset=utf-8",得改成"text/html";
•通过此方法也可篡改response与request,但不要滥用;
•所以说,Android确实不安全!
GitHub地址:webview_post_data
总结
以上所述是小编给大家介绍的Android拦截并获取WebView内部POST请求参数的实现方法,希望对大家有所帮助,如果大家有任何疑问请给我留言,小编会及时回复大家的。在此也非常感谢大家对脚本之家网站的支持!
如果你觉得本文对你有帮助,欢迎转载,烦请注明出处,谢谢!