
python代码如下:
import numpy as np # Write a function that takes as input a list of numbers, and returns # the list of values given by the softmax function. def softmax(L): pass expL = np.exp(L) sumExpL = sum(expL) result = [] for i in expL: result.append(i*1.0/sumExpL) return result
python编写交叉熵公式:
import numpy as np def cross_entropy(Y, P): Y = np.float_(Y) P = np.float_(P) return -np.sum(Y * np.log(P) + (1 - Y) * np.log(1 - P))
补充知识:分类时,为什么不使用均方误差而是使用交叉熵作为损失函数
MSE(均方误差)对于每一个输出的结果都非常看重,而交叉熵只对正确分类的结果看重。
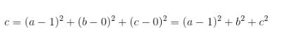
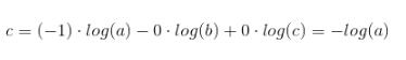
例如:在一个三分类模型中,模型的输出结果为(a,b,c),而真实的输出结果为(1,0,0),那么MSE与cross-entropy相对应的损失函数的值如下:
MSE:

cross-entropy:

从上述的公式可以看出,交叉熵的损失函数只和分类正确的预测结果有关系,而MSE的损失函数还和错误的分类有关系,该分类函数除了让正确的分类尽量变大,还会让错误的分类变得平均,但实际在分类问题中这个调整是没有必要的。
但是对于回归问题来说,这样的考虑就显得很重要了。所以,回归问题熵使用交叉上并不合适。
以上这篇python编写softmax函数、交叉熵函数实例就是小编分享给大家的全部内容了,希望能给大家一个参考,也希望大家多多支持脚本之家。