array和asarray都可以将结构数据转化为ndarray,但是主要区别就是当数据源是ndarray时,array仍然会copy出一个副本,占用新的内存,但asarray不会。
1.输入为列表时
a=[[1,2,3],[4,5,6],[7,8,9]] b=np.array(a) c=np.asarray(a) a[2]=1 print(a) print(b) print(c)

从中我们可以看出np.array与np.asarray功能是一样的,都是将输入转为矩阵格式。当输入是列表的时候,更改列表的值并不会影响转化为矩阵的值。
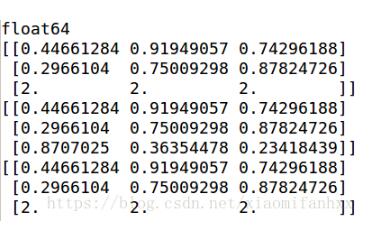
2.输入为数组时
a=np.random.random((3,3)) print(a.dtype) b=np.array(a,dtype='float64') c=np.asarray(a,dtype='float64') a[2]=2 print(a) print(b) print(c)

从上述结果我们可以看出np.array与np.asarray的区别,其在于输入为数组时,np.array是将输入copy过去而np.asarray是将输入cut过去,所以随着输入的改变np.array的输出不变,而np.asarray的输出在变化,并且当我们使用np.asarray改变其类型的时候(输入是float64,改为float32),这样当输入改变的时候,np.asarray的输出也不会改变。
3.array类型转为list类型
a=np.random.random((3,3)) print(a.dtype) b=a.tolist() a[1]=2 print(a) print(b)

从上述我们可以看到.tolist是将数组转为list的格式,等同于np.array的反向,那什么情况下需要将np.ndarray转为list的格式呢?当需要序列化的时候(serialization),由于np.ndarray是不可序列化的。
补充知识:opencv 将int类型数字转换为固定长度的字符串cv::format
int currentFrame = 2;
stringstream frame_name;
frame_name << cv::format("%.3d",currentFrame) << ".jpg";
或者:
String save_frame_path;
save_frame_path = cv::format("%.3d", frame_num) + ".jpg";
以上这篇浅谈numpy中np.array()与np.asarray的区别以及.tolist就是小编分享给大家的全部内容了,希望能给大家一个参考,也希望大家多多支持脚本之家。