方法
import pandas as pd import numpy as np import seaborn as sns df = pd.DataFrame(np.random.randn(50).reshape(10,5)) corr = df.corr() sns.heatmap(corr, cmap='Blues', annot=True)

将矩阵型简化为对角矩阵型:
mask = np.zeros_like(corr) mask[np.tril_indices_from(mask)] = True sns.heatmap(corr, cmap='Blues', annot=True, mask=mask.T)

补充知识:Python【相关矩阵】和【协方差矩阵】
相关系数矩阵
pandas.DataFrame(数据).corr()
import pandas as pd
df = pd.DataFrame({
'a': [11, 22, 33, 44, 55, 66, 77, 88, 99],
'b': [10, 24, 30, 48, 50, 72, 70, 96, 90],
'c': [91, 79, 72, 58, 53, 47, 34, 16, 10],
'd': [99, 10, 98, 10, 17, 10, 77, 89, 10]})
df_corr = df.corr()
# 可视化
import matplotlib.pyplot as mp, seaborn
seaborn.heatmap(df_corr, center=0, annot=True, cmap='YlGnBu')
mp.show()

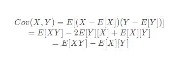
协方差矩阵
numpy.cov(数据)
import numpy as np
matric = [
[11, 22, 33, 44, 55, 66, 77, 88, 99],
[10, 24, 30, 48, 50, 72, 70, 96, 90],
[91, 79, 72, 58, 53, 47, 34, 16, 10],
[55, 20, 98, 19, 17, 10, 77, 89, 14]]
covariance_matrix = np.cov(matric)
# 可视化
print(covariance_matrix)
import matplotlib.pyplot as mp, seaborn
seaborn.heatmap(covariance_matrix, center=0, annot=True, xticklabels=list('abcd'), yticklabels=list('ABCD'))
mp.show()

补充
协方差

相关系数

EXCEL也能做
CORREL函数

以上这篇python seaborn heatmap可视化相关性矩阵实例就是小编分享给大家的全部内容了,希望能给大家一个参考,也希望大家多多支持脚本之家。