一、实验目标
1、使用 K-means 模型进行聚类,尝试使用不同的类别个数 K,并分析聚类结果。
2、按照 8:2 的比例随机将数据划分为训练集和测试集,至少尝试 3 个不同的 K 值,并画出不同 K 下 的聚类结果,及不同模型在训练集和测试集上的损失。对结果进行讨论,发现能解释数据的最好的 K 值。二、算法原理
首先确定k,随机选择k个初始点之后所有点根据距离质点的距离进行聚类分析,离某一个质点a相较于其他质点最近的点分配到a的类中,根据每一类mean值更新迭代聚类中心,在迭代完成后分别计算训 练集和测试集的损失函数SSE_train、SSE_test,画图进行分析。

伪代码如下:
num=10 #k的种类 for k in range(1,num): 随机选择k个质点 for i in range(n): #迭代n次 根据点与质点间的距离对于X_train进行聚类 根据mean值迭代更新质点 计算SSE_train 计算SSE_test 画图
算法流程图:

三、代码实现
1、导入库
import pandas as pd import matplotlib.pyplot as plt import numpy as np from sklearn.model_selection import train_test_split
2、计算距离
def distance(p1,p2): return np.sqrt((p1[0]-p2[0])**2+(p1[1]-p2[1])**2)
3、计算均值
def means(arr): return np.array([np.mean([p[0] for p in arr]),np.mean([p[1] for p in arr])])
4、二维数据处理
#数据处理
data= pd.read_table('cluster.dat',sep='\t',header=None)
data.columns=['x']
data['y']=None
for i in range(len(data)): #遍历每一行
column = data['x'][i].split( ) #分开第i行,x列的数据。split()默认是以空格等符号来分割,返回一个列表
data['x'][i]=column[0] #分割形成的列表第一个数据给x列
data['y'][i]=column[1] #分割形成的列表第二个数据给y列
list=[]
list1=[]
for i in range(len(data)):
list.append(float(data['x'][i]))
list.append(float(data['y'][i]))
list1.append(list)
list=[]
arr=np.array(list1)
print(arr)

5、划分数据集和训练集
#按照8:2划分数据集和训练集 X_train, X_test = train_test_split(arr,test_size=0.2,random_state=1)
6、主要聚类实现
count=10 #k的种类:1、2、3...10 SSE_train=[] #训练集的SSE SSE_test=[] #测试集的SSE n=20 #迭代次数 for k in range(1,count): cla_arr=[] #聚类容器 centroid=[] #质点 for i in range(k): j=np.random.randint(0,len(X_train)) centroid.append(list1[j]) cla_arr.append([]) centroids=np.array(centroid) cla_tmp=cla_arr #临时训练集聚类容器 cla_tmp1=cla_arr #临时测试集聚类容器 for i in range(n): #开始迭代 for e in X_train: #对于训练集中的点进行聚类分析 pi=0 min_d=distance(e,centroids[pi]) for j in range(k): if(distance(e,centroids[j])<min_d): min_d=distance(e,centroids[j]) pi=j cla_tmp[pi].append(e) #添加点到相应的聚类容器中 for m in range(k): if(n-1==i): break centroids[m]=means(cla_tmp[m])#迭代更新聚类中心 cla_tmp[m]=[] dis=0 for i in range(k): #计算训练集的SSE_train for j in range(len(cla_tmp[i])): dis+=distance(centroids[i],cla_tmp[i][j]) SSE_train.append(dis) col = ['HotPink','Aqua','Chartreuse','yellow','red','blue','green','grey','orange'] #画出对应K的散点图 for i in range(k): plt.scatter([e[0] for e in cla_tmp[i]],[e[1] for e in cla_tmp[i]],color=col[i]) plt.scatter(centroids[i][0],centroids[i][1],linewidth=3,s=300,marker='+',color='black') plt.show() for e in X_test: #测试集根据训练集的质点进行聚类分析 ki=0 min_d=distance(e,centroids[ki]) for j in range(k): if(distance(e,centroids[j])<min_d): min_d=distance(e,centroids[j]) ki=j cla_tmp1[ki].append(e) for i in range(k): #计算测试集的SSE_test for j in range(len(cla_tmp1[i])): dis+=distance(centroids[i],cla_tmp1[i][j]) SSE_test.append(dis)

7、画图
SSE=[] #计算测试集与训练集SSE的差值
for i in range(len(SSE_test)):
SSE.append(SSE_test[i]-SSE_train[i])
x=[1,2,3,4,5,6,7,8,9]
plt.figure()
plt.plot(x,SSE_train,marker='*')
plt.xlabel("K")
plt.ylabel("SSE_train")
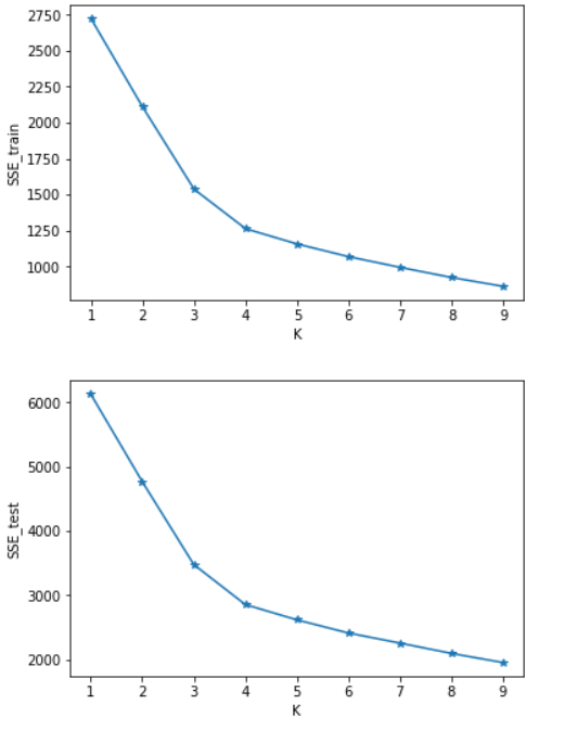
plt.show() #画出SSE_train的图
plt.figure()
plt.plot(x,SSE_test,marker='*')
plt.xlabel("K")
plt.ylabel("SSE_test")
plt.show() #画出SSE_test的图
plt.figure()
plt.plot(x,SSE,marker='+')
plt.xlabel("K")
plt.ylabel("SSE_test-SSE_train")
plt.show() #画出SSE_test-SSE_train的图


四、实验结果分析
可以看出SSE随着K的增长而减小,测试集和训练集的图形趋势几乎一致,在相同的K值下,测试集的SSE大于训练集的SSE。于是我对于在相同的K值下的SSE_test和SSE_train做了减法(上图3),可知K=4时数据得出结果最好。这里我主要使用肘部原则来判断。本篇并未实现轮廓系数,参考文章:https://www.jb51.net/article/187771.htm