一阶矩,定义了每个颜色分量的平均强度

二阶矩,反映待测区域颜色方差,即不均匀性

三阶矩,定义了颜色分量的偏斜度,即颜色的不对称性

close all;clear all;clc;
J = imread('lena.jpg');
K = imadjust(J,[70/255 160/255],[]);
figure;
subplot(121),imshow(J);
subplot(122),imshow(K);
[m,n] = size(J);
mm = round(m/2);
mn = round(n/2);
[p,q] = size(K);
pp = round(p/2);
qq = round(q/2);
J = double(J);
K = double(K);
colorsum = 0.0;
Javg = mean2(J) %求原图像一阶矩
Kavg = mean2(K) %求增强对比度后的图像一阶矩
Jstd = std(std(J)) %求原图像的二阶矩,因为一次std函数表示按列求标准差,两次std表示求整个矩阵的标准差
Kstd = std(std(K)) %求增强对比度后的图像二阶矩
for i=1:mm
for j=1:mn
colorsum = colorsum+(J(i,j)-Javg)^3;
end
end
Jske = (colorsum/(mm*mn))^(1/3) %求原图像的三阶矩
colorsum = 0.0;
for i=1:pp
for j=1:qq
colorsum = colorsum + (J(i,j)-Kavg)^3;
end
end
Kske = (colorsum/(pp*qq))^(1/3) %求增强对比度后的图像三阶矩
部分函数说明:
mean2(A) : 求矩阵A的均值
std(x,flag,dim): 求x的标准偏差
std(x,0,1) : 0表示求标准差时除n-1,1表示按列划分
std(x,1,2) : 1表示求标准差时除n,2表示按行划分
补充知识:图像的重心和二阶矩
图像的重心
图像实际上就是个矩阵,每个位置的元素就是该处的像素。 这里碰到了求图像重心的问题,特此总结:
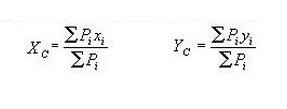
计算公式:

其中(xi,yi)是像素点的坐标,pi是该点的像素值。
以下是利用matlab求图像重心
I = imread(‘1.jpg'); I = rgb2gray(I); imshow(I); I = double(I); [rows,cols] = size(I); x = ones(rows,1)*[1:cols]; y = [1:rows]'*ones(1,cols); area = sum(sum(I)); meanx = sum(sum(I.*x))/area; meany = sum(sum(I.*y))/area; hold on; plot(meanx,meany,'r+'); %十字标出重心位置
图像的二阶矩
我们这里只讨论二阶矩的问题。
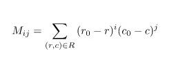
二阶矩最终是形成了一个二阶矩阵,如下:

计算方法:

其中(r0,c0)是重心坐标。
以上这篇matlab 计算灰度图像的一阶矩,二阶矩,三阶矩实例就是小编分享给大家的全部内容了,希望能给大家一个参考,也希望大家多多支持脚本之家。