一般有两种算法来计算平面上给定n个点的凸包:Graham扫描法(Graham's scan),时间复杂度为O(nlgn);Jarvis步进法(Jarvis march),时间复杂度为O(nh),其中h为凸包顶点的个数。这两种算法都按逆时针方向输出凸包顶点。
Graham扫描法
用一个栈来解决凸包问题,点集Q中每个点都会进栈一次,不符合条件的点会被弹出,算法终止时,栈中的点就是凸包的顶点(逆时针顺序在边界上)。
算法步骤如下图:






import sys
import math
import time
import random
#获取基准点的下标,基准点是p[k]
def get_leftbottompoint(p):
k = 0
for i in range(1, len(p)):
if p[i][1] < p[k][1] or (p[i][1] == p[k][1] and p[i][0] < p[k][0]):
k = i
return k
#叉乘计算方法
def multiply(p1, p2, p0):
return (p1[0] - p0[0]) * (p2[1] - p0[1]) - (p2[0] - p0[0]) * (p1[1] - p0[1])
#获取极角,通过求反正切得出,考虑pi/2的情况
def get_arc(p1, p0):
# 兼容sort_points_tan的考虑
if (p1[0] - p0[0]) == 0:
if ((p1[1] - p0[1])) == 0:
return -1;
else:
return math.pi / 2
tan = float((p1[1] - p0[1])) / float((p1[0] - p0[0]))
arc = math.atan(tan)
if arc >= 0:
return arc
else:
return math.pi + arc
#对极角进行排序,排序结果list不包含基准点
def sort_points_tan(p, pk):
p2 = []
for i in range(0, len(p)):
p2.append({"index": i, "arc": get_arc(p[i], pk)})
#print('排序前:',p2)
p2.sort(key=lambda k: (k.get('arc')))
#print('排序后:',p2)
p_out = []
for i in range(0, len(p2)):
p_out.append(p[p2[i]["index"]])
return p_out
def convex_hull(p):
p=list(set(p))
#print('全部点:',p)
k = get_leftbottompoint(p)
pk = p[k]
p.remove(p[k])
#print('排序前去除基准点的所有点:',p,'基准点:',pk)
p_sort = sort_points_tan(p, pk) #按与基准点连线和x轴正向的夹角排序后的点坐标
#print('其余点与基准点夹角排序:',p_sort)
p_result = [pk,p_sort[0]]
top = 2
for i in range(1, len(p_sort)):
#####################################
#叉乘为正,向前递归删点;叉乘为负,序列追加新点
while(multiply(p_result[-2], p_sort[i],p_result[-1]) > 0):
p_result.pop()
p_result.append(p_sort[i])
return p_result#测试
if __name__ == '__main__': pass test_data = [(220, -100), (0,0), (-40, -170), (240, 50), (-160, 150), (-210, -150)] print(test_data) result = convex_hull(test_data) print(result) t=0 import matplotlib.pyplot as plt x1=[] y1=[] for i in range(len(test_data)): ri=test_data[i] #print(ri) x1.append(ri[0]) y1.append(ri[1]) plt.plot(x1,y1,linestyle=' ',marker='.') xx=[] yy=[] for i in range(len(result)): ri=result[i] #print(ri) xx.append(ri[0]) yy.append(ri[1]) plt.plot(xx,yy,linestyle=' ',marker='*')

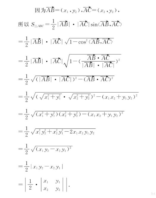
计算多边形面积
(1)顺时针给定构成凸包的n个点坐标,叉乘法求多边形面积:

def GetAreaOfPolyGonbyVector(points):
# 基于向量叉乘计算多边形面积
area = 0
if(len(points)<3):
raise Exception("error")
for i in range(0,len(points)-1):
p1 = points[i]
p2 = points[i + 1]
triArea = (p1[0]*p2[1] - p2[0]*p1[1])/2
#print(triArea)
area += triArea
fn=(points[-1][0]*points[0][1]-points[0][0]*points[-1][1])/2
#print(fn)
return abs(area+fn)
points = []
x = [1,3,2]
y = [1,2,2]
#[(1,1),(3,1),(5,3),(3,5),(1,3)]
# x=[1,3,5,3,1]
# y=[1,1,3,5,3]
for index in range(len(x)):
points.append((x[index],y[index]))
area = GetAreaOfPolyGonbyVector(points)
print(area)
#print(math.ceil(area))
(2)顺时针给定构成凸包的n个点经纬度坐标,先将经纬度坐标转化成凸多边形的边的经纬度距离,利用海伦公式求多边形面积:
from geopy.distance import vincenty
import math
def HeronGetAreaOfPolyGonbyVector(points):
# 基于海伦公式计算多边形面积
area = 0
if(len(points)<3):
raise Exception("error")
pb=((points[-1][0]+points[0][0])/2,(points[-1][1]+points[0][1])/2) #基准点选为第一个点和最后一个点连线边上的中点
for i in range(0,len(points)-1):
p1 = points[i]
p2 = points[i + 1]
db1 = vincenty(pb,p1).meters #根据维度转化成经纬度距离
d12 = vincenty(p1,p2).meters
d2b = vincenty(p2,pb).meters
#print(db1,d12,d2b)
hc = (db1+d12+d2b)/2 #db1是基准点和p1的距离,d12是p1和p2的距离,d2b是p2和基准点距离
#print(hc, hc-db1, hc-d12, hc-d2b)
triArea = math.sqrt(hc*(hc-db1)*(hc-d12)*(hc-d2b))
#print(triArea)
area += triArea
return area
points = []
x = [1,3,2]
y = [1,2,2]
#[(1,1),(3,1),(5,3),(3,5),(1,3)]
# x=[1,3,5,3,1]
# y=[1,1,3,5,3]
for index in range(len(x)):
points.append((x[index],y[index]))
area = HeronGetAreaOfPolyGonbyVector(points)
print(area)
#print(math.ceil(area))
Graham程序原理
(1)基准点的确认原则:
有唯一的某个点纵坐标最小,该点为基准点;
不止一个点的纵坐标最小,选这些点里最靠左的为基准点
(2)计算叉乘【后续利用叉乘正负判断夹角是否大于180o】:

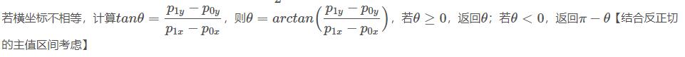
(3)获取极角,通过求反正切得出:
若横纵坐标都相等(两点相同),返回-1;
若横坐标相等/纵坐标不相等(两点连线垂直y轴),返回 

(4)对极角进行排序,排序结果list不包含基准点:
p2=[{"index":0, "arc":get_arc(p[0],p[k])},
{"index":1, "arc":get_arc(p[1],p[k])},
···
{"index":k-1, "arc":get_arc(p[k-1],p[k])},
{"index":k+1, "arc":get_arc(p[k+1],p[k])},
···
{"index":n, "arc":get_arc(p[n],p[k])}]
#get_arc(p[0],p[k])即获得p[0]点与基准点p[k]连线的极角(与x轴正向夹角)
#根据p2的“arc”键的值从小到大排序,最后输出按该角度值排序对应顺序的各个点
(5)逆时针确定凸多边形:

主要是找角度是否大于180o——差乘正负——点进出栈顺序三者关系

...一直遍历到最后一个点...一直遍历到最后一个点
规律:叉乘>0,夹角小于180o,递归向前删点;叉乘<0,夹角大于180o,不删点,加入新点,向后遍历叉乘>0,夹角小于180o,递归向前删点;叉乘<0,夹角大于180o,不删点,加入新点,向后遍历
注意:(a)上述给非基准点按极角从到大小排号时,有两个及以上点“和基准点连线构成的极角”相等时,这些点的排号挨着但是没有固定顺序,这点并不影响算法给出凸包的准确性。(b)对排号最后的一个点,扫描算法里没有任何删除该点的机制,但是这点也不影响算法给出凸包的准确性。(c)上述程序需要额外加入,判断结束栈内点数小于3和筛选凸包前点数小于3,不能计算多边形面积的情况,可以直接给这种情况赋值0返回。
以上这篇Python求凸包及多边形面积教程就是小编分享给大家的全部内容了,希望能给大家一个参考,也希望大家多多支持脚本之家。