DFT
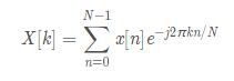
DFT(Discrete Fourier Transform),离散傅里叶变化,可以将离散信号变换到频域,它的公式非常简单:

离散频率下标为k时的频率大小
离散时域信号序列
信号序列的长度,也就是采样的个数
如果你刚接触DFT,并且之前没有信号处理的相关经验,那么第一次看到这个公式,你可能有一些疑惑,为什么这个公式就能进行时域与频域之间的转换呢?
这里,我不打算去解释它,因为我水平有限,说的不清楚。相反,在这里我想介绍,作为一个程序员,如何如实现DFT
从矩阵的角度看DFT
DFT的公式,虽然简单,但是理解起来比较麻烦,我发现如果用矩阵相乘的角度来理解上面的公式,就会非常简单,直接上矩阵:

OK,通过上面的表示,我们很容易将DFT理解成为一种矩阵相乘的操作,这对于我们编码是很容易的。
Talk is cheap, show me the code
根据上面的理解,我们只需要构建出S SS矩阵,然后做矩阵相乘,就等得到DFT的结果
在这之前,我们先介绍如何生成正弦信号,以及如何用scipy中的fft模块进行DFT操作,以验证我们的结果是否正确
正弦信号

A: 幅度
f: 信号频率
n: 时间下标
T: 采样间隔, 等于 1/fs,fs为采样频率
ϕ \phiϕ: 相位
下面介绍如何生成正弦信号
import numpy as np import matplotlib.pyplot as plt %matplotlib inline
def generate_sinusoid(N, A, f0, fs, phi): ''' N(int) : number of samples A(float) : amplitude f0(float): frequency in Hz fs(float): sample rate phi(float): initial phase return x (numpy array): sinusoid signal which lenght is M ''' T = 1/fs n = np.arange(N) # [0,1,..., N-1] x = A * np.cos( 2*f0*np.pi*n*T + phi ) return x N = 511 A = 0.8 f0 = 440 fs = 44100 phi = 0 x = generate_sinusoid(N, A, f0, fs, phi) plt.plot(x) plt.show()

# 另一种生成正弦信号的方法,生成时长为t的序列 def generate_sinusoid_2(t, A, f0, fs, phi): ''' t (float) : 生成序列的时长 A (float) : amplitude f0 (float) : frequency fs (float) : sample rate phi(float) : initial phase returns x (numpy array): sinusoid signal sequence ''' T = 1.0/fs N = t / T return generate_sinusoid(N, A, f0, fs, phi) A = 1.0 f0 = 440 fs = 44100 phi = 0 t = 0.02 x = generate_sinusoid_2(t, A, f0, fs, phi) n = np.arange(0, 0.02, 1/fs) plt.plot(n, x)

Scipy FFT
介绍如何Scipy的FFT模块计算DFT
注意,理论上输入信号的长度必须是
才能做FFT,而scipy中FFT却没有这样的限制
这是因为当长度不等于
时,scipy fft默认做DFT
from scipy.fftpack import fft # generate sinusoid N = 511 A = 0.8 f0 = 440 fs = 44100 phi = 1.0 x = generate_sinusoid(N, A, f0, fs, phi) # fft is X = fft(x) mX = np.abs(X) # magnitude pX = np.angle(X) # phase # plot the magnitude and phase plt.subplot(2,1,1) plt.plot(mX) plt.subplot(2,1,2) plt.plot(pX) plt.show()

自己实现DFT
自己实现DFT的关键就是构造出S,有两种方式:

def generate_complex_sinusoid(k, N): ''' k (int): frequency index N (int): length of complex sinusoid in samples returns c_sin (numpy array): the generated complex sinusoid (length N) ''' n = np.arange(N) c_sin = np.exp(1j * 2 * np.pi * k * n / N) return np.conjugate(c_sin) def generate_complex_sinusoid_matrix(N): ''' N (int): length of complex sinusoid in samples returns c_sin_matrix (numpy array): the generated complex sinusoid (length N) ''' n = np.arange(N) n = np.expand_dims(n, axis=1) # 扩充维度,将1D向量,转为2D矩阵,方便后面的矩阵相乘 k = n m = n.T * k / N # [N,1] * [1, N] = [N,N] S = np.exp(1j * 2 * np.pi * m) # 计算矩阵 S return np.conjugate(S)
# 生成信号,用于测试 N = 511 A = 0.8 f0 = 440 fs = 44100 phi = 1.0 x = generate_sinusoid(N, A, f0, fs, phi) # 第一种方式计算DFT X_1 = np.array([]) for k in range(N): s = generate_complex_sinusoid(k, N) X_1 = np.append(X_1, np.sum(x * s)) mX = np.abs(X_1) pX = np.angle(X_1) # plot the magnitude and phase plt.subplot(2,1,1) plt.plot(mX) plt.subplot(2,1,2) plt.plot(pX) plt.show() # 结果和scipy的结果基本相同

# 第二种方法计算DFT S = generate_complex_sinusoid_matrix(N) X_2 = np.dot(S, x) mX = np.abs(X_2) pX = np.angle(X_2) # plot the magnitude and phase plt.subplot(2,1,1) plt.plot(mX) plt.subplot(2,1,2) plt.plot(pX) plt.show()

回顾了DFT的计算公式,并尝试用矩阵相乘的角度来理解DFT
介绍了两种生成正弦信号的方法
实现了两种DFT的计算方法
完整代码在这里
以上这篇信号生成及DFT的python实现方式就是小编分享给大家的全部内容了,希望能给大家一个参考,也希望大家多多支持脚本之家。