今天在看文档的时候,发现pytorch 的conv操作不是很明白,于是有了一下记录
首先提出两个问题:
1.输入图片是单通道情况下的filters是如何操作的? 即一通道卷积核卷积过程
2.输入图片是多通道情况下的filters是如何操作的? 即多通道多个卷积核卷积过程
这里首先贴出官方文档:
classtorch.nn.Conv2d(in_channels, out_channels, kernel_size, stride=1, padding=0, dilation=1, groups=1, bias=True)[source]

Parameters:
in_channels (int) – Number of channels in the input image
out_channels (int) – Number of channels produced by the convolution
kernel_size (intortuple) – Size of the convolving kernel
stride (intortuple,optional) – Stride of the convolution. Default: 1
padding (intortuple,optional) – Zero-padding added to both sides of the input. Default: 0
dilation (intortuple,optional) – Spacing between kernel elements. Default: 1
groups (int,optional) – Number of blocked connections from input channels to output channels. Default: 1
bias (bool,optional) – If True, adds a learnable bias to the output. Default: True
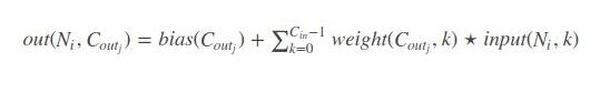
这个文档中的公式对我来说,并不能看的清楚

一通道卷积核卷积过程:
比如32个卷积核,可以学习32种特征。在有多个卷积核时,如下图所示:输出就为32个feature map
也就是, 当conv2d( in_channels = 1 , out_channels = N)
有N个filter对输入进行滤波。同时输出N个结果即feature map,每个filter滤波输出一个结果.
import torch from torch.autograd import Variable ##单位矩阵来模拟输入 input=torch.ones(1,1,5,5) input=Variable(input) x=torch.nn.Conv2d(in_channels=1,out_channels=3,kernel_size=3,groups=1) out=x(input) print(out) print(list(x.parameters()))
输出out的结果和conv2d 的参数如下,可以看到,conv2d是有3个filter加一个bias
# out的结果 Variable containing: (0 ,0 ,.,.) = -0.3065 -0.3065 -0.3065 -0.3065 -0.3065 -0.3065 -0.3065 -0.3065 -0.3065 (0 ,1 ,.,.) = -0.3046 -0.3046 -0.3046 -0.3046 -0.3046 -0.3046 -0.3046 -0.3046 -0.3046 (0 ,2 ,.,.) = 0.0710 0.0710 0.0710 0.0710 0.0710 0.0710 0.0710 0.0710 0.0710 [torch.FloatTensor of size 1x3x3x3] # conv2d的参数 [Parameter containing: (0 ,0 ,.,.) = -0.0789 -0.1932 -0.0990 0.1571 -0.1784 -0.2334 0.0311 -0.2595 0.2222 (1 ,0 ,.,.) = -0.0703 -0.3159 -0.3295 0.0723 0.3019 0.2649 -0.2217 0.0680 -0.0699 (2 ,0 ,.,.) = -0.0736 -0.1608 0.1905 0.2738 0.2758 -0.2776 -0.0246 -0.1781 -0.0279 [torch.FloatTensor of size 3x1x3x3] , Parameter containing: 0.3255 -0.0044 0.0733 [torch.FloatTensor of size 3] ]
验证如下,因为是单位矩阵,所以直接对参数用sum()来模拟卷积过程:
f_p=list(x.parameters())[0]
f_p=f_p.data.numpy()
print("the result of first channel in image:", f_p[0].sum()+(0.3255))
可以看到结果是和(0 ,0 ,.,.) = -0.3065 ....一样的. 说明操作是通过卷积求和的.
the result of first channel in image: -0.306573044777
多通道卷积核卷积过程:
下图展示了在四个通道上的卷积操作,有两个卷积核,生成两个通道。其中需要注意的是,四个通道上每个通道对应一个卷积核,先将w2忽略,只看w1,那么在w1的某位置(i,j)处的值,是由四个通道上(i,j)处的卷积结果相加得到的。 所以最后得到两个feature map, 即输出层的卷积核核个数为 feature map 的个数。

在pytorch 中的展示为
conv2d( in_channels = X(x>1) , out_channels = N)
有N乘X个filter(N组filters,每组X 个)对输入进行滤波。即每次有一组里X个filter对原X个channels分别进行滤波最后相加输出一个结果,最后输出N个结果即feature map。
验证如下:
##单位矩阵来模拟输入 input=torch.ones(1,3,5,5) input=Variable(input) x=torch.nn.Conv2d(in_channels=3,out_channels=4,kernel_size=3,groups=1) out=x(input) print(list(x.parameters()))
可以看到共有4*3=12个filter 和一个1×4的bias 作用在这个(3,5,5)的单位矩阵上
## out输出的结果 Variable containing: (0 ,0 ,.,.) = -0.6390 -0.6390 -0.6390 -0.6390 -0.6390 -0.6390 -0.6390 -0.6390 -0.6390 (0 ,1 ,.,.) = -0.1467 -0.1467 -0.1467 -0.1467 -0.1467 -0.1467 -0.1467 -0.1467 -0.1467 (0 ,2 ,.,.) = 0.4138 0.4138 0.4138 0.4138 0.4138 0.4138 0.4138 0.4138 0.4138 (0 ,3 ,.,.) = -0.3981 -0.3981 -0.3981 -0.3981 -0.3981 -0.3981 -0.3981 -0.3981 -0.3981 [torch.FloatTensor of size 1x4x3x3] ## x的参数设置 [Parameter containing: (0 ,0 ,.,.) = -0.0803 0.1473 -0.0762 0.0284 -0.0050 -0.0246 0.1438 0.0955 -0.0500 (0 ,1 ,.,.) = 0.0716 0.0062 -0.1472 0.1793 0.0543 -0.1764 -0.1548 0.1379 0.1143 (0 ,2 ,.,.) = -0.1741 -0.1790 -0.0053 -0.0612 -0.1856 -0.0858 -0.0553 0.1621 -0.1822 (1 ,0 ,.,.) = -0.0773 -0.1385 0.1356 0.1794 -0.0534 -0.1110 -0.0137 -0.1744 -0.0188 (1 ,1 ,.,.) = -0.0396 0.0149 0.1537 0.0846 -0.1123 -0.0556 -0.1047 -0.1783 -0.0630 (1 ,2 ,.,.) = 0.1850 0.0325 0.0332 -0.0487 0.0018 0.1668 0.0569 0.0267 0.0124 (2 ,0 ,.,.) = 0.1880 -0.0152 -0.1088 -0.0105 0.1805 -0.0343 -0.1676 0.1249 0.1872 (2 ,1 ,.,.) = 0.0299 0.0449 0.1179 0.1280 -0.1545 0.0593 -0.1489 0.1378 -0.1495 (2 ,2 ,.,.) = -0.0922 0.1873 -0.1163 0.0970 -0.0682 -0.1110 0.0614 -0.1877 0.1918 (3 ,0 ,.,.) = -0.1257 -0.0814 -0.1923 0.0048 -0.0789 -0.0048 0.0780 -0.0290 0.1287 (3 ,1 ,.,.) = -0.0649 0.0773 -0.0584 0.0092 -0.1168 -0.0923 0.0614 0.1159 0.0134 (3 ,2 ,.,.) = 0.0426 -0.1055 0.1022 -0.0810 0.0540 -0.1011 0.0698 -0.0799 -0.0786 [torch.FloatTensor of size 4x3x3x3] , Parameter containing: -0.1367 -0.0410 0.0424 0.1353 [torch.FloatTensor of size 4] ]
因为是单位矩阵,所以直接对参数用sum()来模拟卷积过程,结果-0.639065589142 与之前的out结果的(0 ,0 ,.,.) = -0.6390 相同, 即conv2d 是通过利用4组filters,每组filter对每个通道分别卷积相加得到结果。
f_p=list(x.parameters())[0] f_p=f_p.data.numpy() print(f_p[0].sum()+(-0.1367)) -0.639065589142
再更新
import torch
from torch.autograd import Variable
input=torch.ones(1,1,5,5)
input=Variable(input)
x=torch.nn.Conv2d(in_channels=1,out_channels=3,kernel_size=3,groups=1)
out=x(input)
f_p=list(x.parameters())[0]
f_p=f_p.data.numpy()
f_b=list(x.parameters())[1]
f_b=f_b.data.numpy()
print("output result is:", out[0][0])
print("the result of first channel in image:", f_p[0].sum()+f_b[0])
output result is: Variable containing:
0.6577 0.6577 0.6577
0.6577 0.6577 0.6577
0.6577 0.6577 0.6577
[torch.FloatTensor of size 3x3]
the result of first channel in image: 0.657724
input=torch.ones(1,3,5,5)
input=Variable(input)
print(input.size())
x=torch.nn.Conv2d(in_channels=3,out_channels=4,kernel_size=3,groups=1)
out=x(input)
f_p=list(x.parameters())[0]
f_b=list(x.parameters())[1]
f_p=f_p.data.numpy()
f_b=f_b.data.numpy()
# print(f_p[...,0])
# print(f_p[...,0].shape)
# print(f_p[...,0].sum()+f_b[0])
print("output result :",out[0][0])
print("simlatuate the result:", f_p[0].sum()+f_b[0])
torch.Size([1, 3, 5, 5])
output result : Variable containing:
-0.2087 -0.2087 -0.2087
-0.2087 -0.2087 -0.2087
-0.2087 -0.2087 -0.2087
[torch.FloatTensor of size 3x3]
simlatuate the result: -0.208715
以上这篇Pytorch.nn.conv2d 过程验证方式(单,多通道卷积过程)就是小编分享给大家的全部内容了,希望能给大家一个参考,也希望大家多多支持脚本之家。