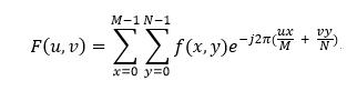
图像(MxN)的二维离散傅立叶变换可以将图像由空间域变换到频域中去,空间域中用x,y来表示空间坐标,频域由u,v来表示频率,二维离散傅立叶变换的公式如下:

在python中,numpy库的fft模块有实现好了的二维离散傅立叶变换函数,函数是fft2,输入一张灰度图,输出经过二维离散傅立叶变换后的结果,但是具体实现并不是直接用上述公式,而是用快速傅立叶变换。结果需要通过使用abs求绝对值才可以进行可视化,但是视觉效果并不理想,因为傅立叶频谱范围很大,所以要用log对数变换来改善视觉效果。
在使用log函数的时候,要写成log(1 + x) 而不是直接用log(x),这是为了避开对0做对数处理。
另外,图像变换的原点需要移动到频域矩形的中心,所以要对fft2的结果使用fftshift函数。最后也可以使用log来改善可视化效果。
代码如下:
import numpy as np
import matplotlib.pyplot as plt
img = plt.imread('photo.jpg')
#根据公式转成灰度图
img = 0.2126 * img[:,:,0] + 0.7152 * img[:,:,1] + 0.0722 * img[:,:,2]
#显示原图
plt.subplot(231),plt.imshow(img,'gray'),plt.title('original')
#进行傅立叶变换,并显示结果
fft2 = np.fft.fft2(img)
plt.subplot(232),plt.imshow(np.abs(fft2),'gray'),plt.title('fft2')
#将图像变换的原点移动到频域矩形的中心,并显示效果
shift2center = np.fft.fftshift(fft2)
plt.subplot(233),plt.imshow(np.abs(shift2center),'gray'),plt.title('shift2center')
#对傅立叶变换的结果进行对数变换,并显示效果
log_fft2 = np.log(1 + np.abs(fft2))
plt.subplot(235),plt.imshow(log_fft2,'gray'),plt.title('log_fft2')
#对中心化后的结果进行对数变换,并显示结果
log_shift2center = np.log(1 + np.abs(shift2center))
plt.subplot(236),plt.imshow(log_shift2center,'gray'),plt.title('log_shift2center')
运行结果:


根据公式实现的二维离散傅立叶变换如下:
import numpy as np
import matplotlib.pyplot as plt
PI = 3.141591265
img = plt.imread('temp.jpg')
#根据公式转成灰度图
img = 0.2126 * img[:,:,0] + 0.7152 * img[:,:,1] + 0.0722 * img[:,:,2]
#显示原图
plt.subplot(131),plt.imshow(img,'gray'),plt.title('original')
#进行傅立叶变换,并显示结果
fft2 = np.fft.fft2(img)
log_fft2 = np.log(1 + np.abs(fft2))
plt.subplot(132),plt.imshow(log_fft2,'gray'),plt.title('log_fft2')
h , w = img.shape
#生成一个同样大小的复数矩阵
F = np.zeros([h,w],'complex128')
for u in range(h):
for v in range(w):
res = 0
for x in range(h):
for y in range(w):
res += img[x,y] * np.exp(-1.j * 2 * PI * (u * x / h + v * y / w))
F[u,v] = res
log_F = np.log(1 + np.abs(F))
plt.subplot(133),plt.imshow(log_F,'gray'),plt.title('log_F')
直接根据公式实现复杂度很高,因为是四重循环,时间复杂度为
,所以实际用的时候需要用快速傅立叶变换来实现
以上这篇python 图像的离散傅立叶变换实例就是小编分享给大家的全部内容了,希望能给大家一个参考,也希望大家多多支持脚本之家。