克里金法时一种用于空间插值的地学统计方法。
克里金法用半变异测定空间要素,要素即自相关要素。
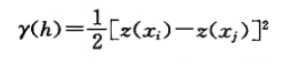
半变异公式为:

其中γ(h) 是已知点 xi 和 xj 的半变异,***h***表示这两个点之间的距离,z是属性值。
假设不存在漂移,普通克里金法重点考虑空间相关因素,并用拟合的半变异直接进行插值。
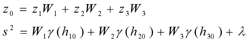
估算某测量点z值的通用方程为:

式中,z0是待估计值,zx是已知点x的值,Wx是每个已知点关联的权重,s是用于估计的已知点数目。
权重可以由一组矩阵方程得到。


此程序对半变异进行拟合时采用的时最简单的正比例函数拟合
数据为csv格式
保存格式如下:
第一行为第一个点以此类推
最后一行是待求点坐标,其中z为未知值,暂且假设为0

代码如下:
import numpy as np
from math import*
from numpy.linalg import *
h_data=np.loadtxt(open('高程点数据.csv'),delimiter=",",skiprows=0)
print('原始数据如下(x,y,z):\n未知点高程初值设为0\n',h_data)
def dis(p1,p2):
a=pow((pow((p1[0]-p2[0]),2)+pow((p1[1]-p2[1]),2)),0.5)
return a
def rh(z1,z2):
r=1/2*pow((z1[2]-z2[2]),2)
return r
def proportional(x,y):
xx,xy=0,0
for i in range(len(x)):
xx+=pow(x[i],2)
xy+=x[i]*y[i]
k=xy/xx
return k
r=[];pp=[];p=[];
for i in range(len(h_data)):
pp.append(h_data[i])
for i in range(len(pp)):
for j in range(len(pp)):
p.append(dis(pp[i],pp[j]))
r.append(rh(pp[i],pp[j]))
r=np.array(r).reshape(len(h_data),len(h_data))
r=np.delete(r,len(h_data)-1,axis =0)
r=np.delete(r,len(h_data)-1,axis =1)
h=np.array(p).reshape(len(h_data),len(h_data))
h=np.delete(h,len(h_data)-1,axis =0)
oh=h[:,len(h_data)-1]
h=np.delete(h,len(h_data)-1,axis =1)
hh=np.triu(h,0)
rr=np.triu(r,0)
r0=[];h0=[];
for i in range(len(h_data)-1):
for j in range(len(h_data)-1):
if hh[i][j] !=0:
a=h[i][j]
h0.append(a)
if rr[i][j] !=0:
a=rr[i][j]
r0.append(a)
k=proportional(h0,r0)
hnew=h*k
a2=np.ones((1,len(h_data)-1))
a1=np.ones((len(h_data)-1,1))
a1=np.r_[a1,[[0]]]
hnew=np.r_[hnew,a2]
hnew=np.c_[hnew,a1]
print('半方差联立矩阵:\n',hnew)
oh=np.array(k*oh)
oh=np.r_[oh,[1]]
w=np.dot(inv(hnew),oh)
print('权阵运算结果:\n',w)
z0,s2=0,0
for i in range(len(h_data)-1):
z0=w[i]*h_data[i][2]+z0
s2=w[i]*oh[i]+s2
s2=s2+w[len(h_data)-1]
print('未知点高程值为:\n',z0)
print('半变异值为:\n',pow(s2,0.5))
input()
运算结果

python初学,为了完成作业写了个小程序来帮助计算,因为初学知识有限,有很多地方写的很复杂,可以优化的地方很多。 还望读者谅解,欢迎斧正谢谢!
参考文献:
【1】(美)张康聪 著;陈健飞等译. 地理信息系统导论(第三版). 北京:清华大学出版社, 2009.04.
以上就是本文的全部内容,希望对大家的学习有所帮助,也希望大家多多支持脚本之家。