1、公式推导
对幂律分布公式:

对公式两边同时取以10为底的对数:


所以对于幂律公式,对X,Y取对数后,在坐标轴上为线性方程。
2、可视化
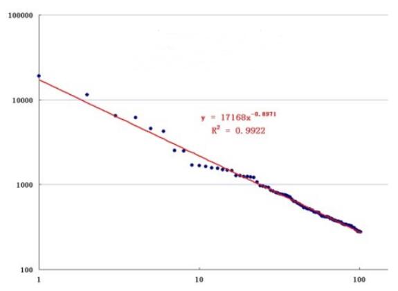
从图形上来说,幂律分布及其拟合效果:

对X轴与Y轴取以10为底的对数。效果上就是X轴上1与10,与10与100的距离是一样的。

对XY取双对数后,坐标轴上点可以很好用直线拟合。所以,判定数据是否符合幂律分布,只需要对XY取双对数,判断能否用一个直线很好拟合就行。常见的直线拟合效果评估标准有拟合误差平方和、R平方。
3、代码实现
#!/usr/bin/env python
# -*-coding:utf-8 -*-
import matplotlib.pyplot as plt
import numpy as np
from sklearn import linear_model
from scipy.stats import norm
def DataGenerate():
X = np.arange(10, 1010, 10) # 0-1,每隔着0.02一个数据 0处取对数,会时负无穷 生成100个数据点
noise=norm.rvs(0, size=100, scale=0.2) # 生成50个正态分布 scale=0.1控制噪声强度
Y=[]
for i in range(len(X)):
Y.append(10.8*pow(X[i],-0.3)+noise[i]) # 得到Y=10.8*x^-0.3+noise
# plot raw data
Y=np.array(Y)
plt.title("Raw data")
plt.scatter(X, Y, color='black')
plt.show()
X=np.log10(X) # 对X,Y取双对数
Y=np.log10(Y)
return X,Y
def DataFitAndVisualization(X,Y):
# 模型数据准备
X_parameter=[]
Y_parameter=[]
for single_square_feet ,single_price_value in zip(X,Y):
X_parameter.append([float(single_square_feet)])
Y_parameter.append(float(single_price_value))
# 模型拟合
regr = linear_model.LinearRegression()
regr.fit(X_parameter, Y_parameter)
# 模型结果与得分
print('Coefficients: \n', regr.coef_,)
print("Intercept:\n",regr.intercept_)
# The mean square error
print("Residual sum of squares: %.8f"
% np.mean((regr.predict(X_parameter) - Y_parameter) ** 2)) # 残差平方和
# 可视化
plt.title("Log Data")
plt.scatter(X_parameter, Y_parameter, color='black')
plt.plot(X_parameter, regr.predict(X_parameter), color='blue',linewidth=3)
# plt.xticks(())
# plt.yticks(())
plt.show()
if __name__=="__main__":
X,Y=DataGenerate()
DataFitAndVisualization(X,Y)


以上这篇Python数据可视化:幂律分布实例详解就是小编分享给大家的全部内容了,希望能给大家一个参考,也希望大家多多支持脚本之家。