蝴蝶曲线是由Temple H·Fay发现的可用极坐标函数表示的蝴蝶曲线。 由于此曲线优美,
因此就想把它作为博客favicon.ico,这里我使用pytho matplotlib.pyplot包来绘制需要的蝴蝶曲线图。 先看下漂亮的蝴蝶曲线吧。

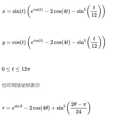
1.首先我们需要确定蝴蝶曲线的函数表达

2.选择python里面的matplotlib.pyplot作为画图工具
1.首先导入python包
import numpy as np import matplotlib.pyplot as plt
2.设置个参数的值
t = np.arange(0.0, 12*np.pi, 0.01) x = np.sin(t)*(np.e**np.cos(t) - 2*np.cos(4*t)-np.sin(t/12)**5) y = np.cos(t)*(np.e**np.cos(t) - 2*np.cos(4*t)-np.sin(t/12)**5)
3.根据公式,使用numpy里面的函数使用plt画出所需图片
plt.figure(figsize=(8,6))
plt.axis('off')
plt.plot(x,y,color='blue',linewidth = '2')
#plt.show()
plt.savefig("butter.jpg",dpi=400)

4.使用Image重新调整图片到适当的大小使其符合favicon大小
from PIL import Image
im = Image.open("butter.jpg")
favicon = im.resize((50,50))
favicon.save("favicon.ico")

至此,我们完成了使用python的matplotlib.pyplot包绘制漂亮的蝴蝶曲线的过程,把图片保存到网站跟目录就可以看到了!
以上这篇python画蝴蝶曲线图的实例就是小编分享给大家的全部内容了,希望能给大家一个参考,也希望大家多多支持脚本之家。