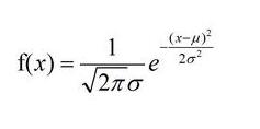
正态分布应用最广泛的连续概率分布,其特征是“钟”形曲线。这种分布的概率密度函数为:

其中,μ为均值,σ为标准差。
求正态分布曲线下面积有3σ原则:

正态曲线下,横轴区间(μ-σ,μ+σ)内的面积为68.268949%,横轴区间(μ-1.96σ,μ+1.96σ)内的面积为95.449974%,横轴区间(μ-2.58σ,μ+2.58σ)内的面积为99.730020%。
求任意区间内曲线下的面积,通常可以引用scipy包中的相关函数
norm函数生成一个给定均值和标准差的正态分布,cdf(x)表示-∞到x的概率
例:(2,1)正态分布下 2-3曲线下的面积
>>> import scipy.stats >>> scipy.stats.norm(2,1).cdf(3)-0.5 0.34134474606854293
由于有时候不便于引用scipy包,自编这一函数也很简单
求积分函数参考:复化梯形求积分
cdfd(a,b,u,o)
a,b 为区间起始范围,u,o分别为正态分布的均值和标准差。
import math def pdf(x): return math.exp(-(x) ** 2 / (2)) / (math.sqrt(2 * math.pi)) def sum_fun_xk(xk, func): return sum([func(each) for each in xk]) def integral(a, b, n, func): h = (b - a)/float(n) xk = [a + i*h for i in range(1, n)] return h/2 * (func(a) + 2 * sum_fun_xk(xk, func) + func(b)) def cdfd(a,b,u,o): return integral((a-u)/o,(b-u)/o,10000,pdf) cdfd(2,3,2,1) Out: 0.3413399854638336
以上这篇Python求正态分布曲线下面积实例就是小编分享给大家的全部内容了,希望能给大家一个参考,也希望大家多多支持脚本之家。