多元正态分布(多元高斯分布)
直接从多元正态分布讲起。多元正态分布公式如下:

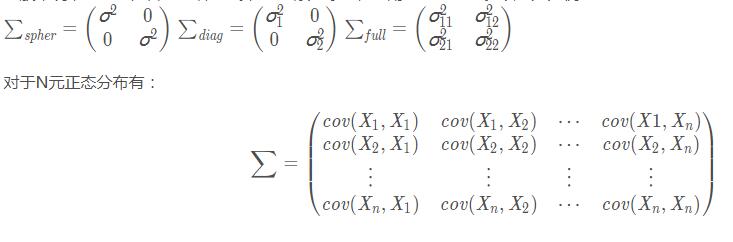
这就是多元正态分布的定义,均值好理解,就是高斯分布的概率分布值最大的位置,进行采样时也就是采样的中心点。而协方差矩阵在多维上形式较多。
协方差矩阵
一般来说,协方差矩阵有三种形式,分别称为球形、对角和全协方差。以二元为例:

为了方便展示不同协方差矩阵的效果,我们以二维为例。(书上截的图,凑活着看吧,是在不想画图了)

其实从这个图上可以很好的看出,协方差矩阵对正态分布的影响,也就很好明白了这三个协方差矩阵是哪里来的名字了。可以看出,球形协方差矩阵,会产生圆形(二维)或者球形(三维)的等高线,对角协方差矩阵和全协方差矩阵,会产生椭圆形的等高线。更一般地,在一个D维空间中,球形协方差矩阵,会产生一个D维球面等高线;对角协方差矩阵,会产生一个坐标轴对其的椭球型等高线;全协方差矩阵,会在任意位置产生一个坐标轴对其的椭球型等高线。
当协方差矩阵是球形的或者是对角的,单独的变量之间是独立的
协方差分解
时间不足,具体解释以后再补
下面是协方差分解的原理图

变量的线性变换(正态分布采样原理)

python实现
多元正态分布在python的numpy库中有很方便一个函数:
np.random.multivariate_normal(mean=mean, cov=conv, size=N)
这个函数中,mean代表均值,是在每个维度中的均值。cov代表协方差矩阵,就像上面讲的那种形式,协方差矩阵值的大小将决定采样范围的大小。size代表需要采样生成的点数,此时输出大小为(N*D)的坐标矩阵。
另外,其他参数包括:check_valid,这个参数用于决定当cov即协方差矩阵不是半正定矩阵时程序的处理方式,它一共有三个值:warn,raise以及ignore。当使用warn作为传入的参数时,如果cov不是半正定的程序会输出警告但仍旧会得到结果;当使用raise作为传入的参数时,如果cov不是半正定的程序会报错且不会计算出结果;当使用ignore时忽略这个问题即无论cov是否为半正定的都会计算出结果
tol:检查协方差矩阵奇异值时的公差,float类型。
下面是一个小demo
import numpy as np
import matplotlib.pyplot as plt
mean = np.array([2,1]) # 均值
conv = np.array([[0.5, 0.0], # 协方差矩阵
[0.0, 0.5]])
axis = np.random.multivariate_normal(mean=mean, cov=conv, size=200)
x, y = np.random.multivariate_normal(mean=mean, cov=conv, size=1000).T
# print(axis[:])
plt.plot(axis[:, 0], axis[:, 1], 'ro')
plt.show()
plt.plot(x, y, 'ro')
plt.show()
注意,单独取出每个坐标轴的坐标数组时,需要在最后加上.T,否则会报错 效果展示:

协方差值的大小对采样的影响:
mean = np.array([2,1]) # 均值
conv = np.array([[0.5, 0.0], # 协方差矩阵
[0.0, 0.5]])
conv2 = np.array([[10, 0.0], # 协方差矩阵
[0.0, 10]])
axis = np.random.multivariate_normal(mean=mean, cov=conv, size=200)
x, y = np.random.multivariate_normal(mean=mean, cov=conv2, size=200).T
# print(axis[:])
plt.plot(axis[:, 0], axis[:, 1], 'ro')
plt.show()
plt.plot(x, y, 'ro')
plt.show()
效果如下:

这里没有设定随机种子店,每次随机数会有所不同。
以上这篇使用Python实现正态分布、正态分布采样就是小编分享给大家的全部内容了,希望能给大家一个参考,也希望大家多多支持脚本之家。