在前面实现了平移和缩放,还有一种常用的坐标变换,那就是旋转。比如拍摄的照片上传到电脑里,再打开时发现人的头在下面脚在上,这样肯定看不了,那么就需要把这个照片旋转180度才可以接受。由于旋转变换,都是绕着点进行运动的,首先要找到轴的位置,默认是原点(0,0),如果要指定点进行,那么要采用前面的平移操作,即是把图片移到这一点上,然后进行旋转,再把它平移回来,这样才可以完成。所以在这个操作过程里,就要多个矩阵进行操作了,先要进行平移矩阵相乘,再与旋转矩阵相乘,最后与反向平移矩阵相乘。旋转的操作都是使用角度方式来计算,因此要使用中学的知识—三角函数sin和cos等,如果对这些知识忘记了,可以回去复习一下中学知识,到这里就会发现数学的知识是非常有用的,特别是中学的知识。一般会解出方案如下:

再加上齐次化,齐次化的目标主要为了把平移操作统一到一个公式里,就可以把公式写成这样:

这个矩阵变换就是纯旋转的公式。一般情况下,会有平移和缩放一起操作,这样单独地去构造这些矩阵就有些麻烦了,为了简单起见,OpenCV提供了一个函数cv2.getRotationMatrix2D来完成这些操作,这个函数调用参数如下:
retval = cv.getRotationMatrix2D( center, angle, scale )
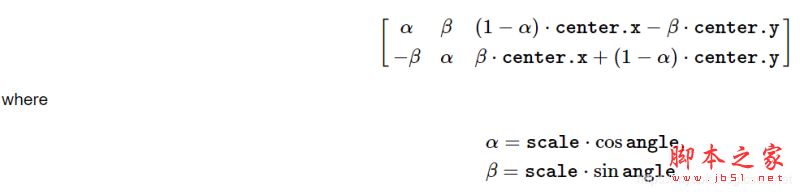
center是元组表示的旋转中心点。
angle是用度表示的旋转角度。
scale是缩放系数。
其实这个函数是计算这样的矩阵:

所以在OpenCV里基本不需要自己去单独计算缩放和旋转的矩阵,调用此函数最简单了。下面通过例子来演示旋转的功能:
#python 3.7.4,opencv4.1
#蔡军生 https://blog.csdn.net/caimouse/article/details/51749579
#
import cv2
import numpy as np
#图片的路径
imgname = "img1.jpg"
#读取图片
image = cv2.imread(imgname, cv2.IMREAD_COLOR)
#图片的高度和宽度
h,w = image.shape[:2]
#构造缩放并旋转的2X3的矩阵,然后调用warpAffine执行
A1 = cv2.getRotationMatrix2D((w/2.0, h/2.0), 30, 0.5)
d1 = cv2.warpAffine(image, A1, (w, h), borderValue = 125)
#显示操作之后的图片
cv2.imshow("d1",d1)
#显示图像
cv2.imshow("image", image)
#等待用户输入,然后删除所有窗口
cv2.waitKey(0)
cv2.destroyAllWindows()
输出结果如下:

左边是旋转并缩放的图片,右边是原图。
上面的例子主要调用函数getRotationMatrix2D来构造矩阵,然后调用函数warpAffine来执行仿射变换操作。
以上所述是小编给大家介绍的使用OpenCV实现仿射变换—旋转功能,希望对大家有所帮助,如果大家有任何疑问请给我留言,小编会及时回复大家的。在此也非常感谢大家对脚本之家网站的支持!
如果你觉得本文对你有帮助,欢迎转载,烦请注明出处,谢谢!