np.linalg.norm(求范数):linalg=linear(线性)+algebra(代数),norm则表示范数。
函数参数
x_norm=np.linalg.norm(x, ord=None, axis=None, keepdims=False)
①x: 表示矩阵(也可以是一维)
②ord:范数类型
向量的范数:

矩阵的范数:
ord=1:列和的最大值
ord=2:|λE-ATA|=0,求特征值,然后求最大特征值得算术平方根
ord=∞:行和的最大值
③axis:处理类型
axis=1表示按行向量处理,求多个行向量的范数
axis=0表示按列向量处理,求多个列向量的范数
axis=None表示矩阵范数。
④keepding:是否保持矩阵的二维特性
True表示保持矩阵的二维特性,False相反
向量范数:
1-范数:
,即向量元素绝对值之和,matlab调用函数norm(x, 1) 。
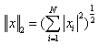
2-范数:
,Euclid范数(欧几里得范数,常用计算向量长度),即向量元素绝对值的平方和再开方,matlab调用函数norm(x, 2)。
∞-范数:
,即所有向量元素绝对值中的最大值,matlab调用函数norm(x, inf)。
-∞-范数:
,即所有向量元素绝对值中的最小值,matlab调用函数norm(x, -inf)。
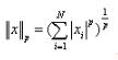
p-范数:
,即向量元素绝对值的p次方和的1/p次幂,matlab调用函数norm(x, p)。
矩阵范数:
1-范数:
, 列和范数,即所有矩阵列向量绝对值之和的最大值,matlab调用函数norm(A, 1)。
2-范数:
,谱范数,即A'A矩阵的最大特征值的开平方。matlab调用函数norm(x, 2)。
∞-范数:
,行和范数,即所有矩阵行向量绝对值之和的最大值,matlab调用函数norm(A, inf)。
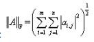
F-范数:
,Frobenius范数,即矩阵元素绝对值的平方和再开平方,matlab调用函数norm(A, 'fro‘)。
import numpy as np x1=np.array([1,5,6,3,-1]) x2=np.arange(12).reshape(3,4) print x1,'\n',x2 print '向量2范数:' print np.linalg.norm(x1) print np.linalg.norm(x1,ord=2) print '默认的矩阵范数:' print np.linalg.norm(x2) print '矩阵2范数:' print np.linalg.norm(x2,ord=2)

经测试知:
np.linalg.norm(X),X为向量时,默认求向量2范数,即求向量元素绝对值的平方和再开方;
X为矩阵是,默认求的是F范数。矩阵的F范数即:矩阵的各个元素平方之和再开平方根,它通常也叫做矩阵的L2范数,它的有点在它是一个凸函数,可以求导求解,易于计算。
以上这篇在python Numpy中求向量和矩阵的范数实例就是小编分享给大家的全部内容了,希望能给大家一个参考,也希望大家多多支持脚本之家。