这个是很有用的一个运算,除了本身可以求自然对数,还是求指数函数需要用到的基础函数。
实现原理就是泰勒展开,最简单是在x=1处进行泰勒展开:

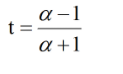
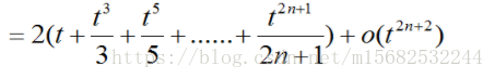
但该函数离1越远越难收敛,同时大于2时无法收敛,所以需要进行换元,然后重新展开:


但是该换元在接近0时或者接近无穷大时收敛困难,处在1到10范围内收敛快且精度高,所以对大于10或小于1的值进行分解如下:
ln(55000)=ln(5.5)+4ln10
ln(0.0015)=ln(1.5)-4ln10
ln10为算好的值,可直接由ln_h1(10)得到
Epsilon 为精度控制
输出的i可以检测收敛次数。
Epsilon = 10e-16
ln10 = 2.30258509299404568401
def ln_h(x):
'''
ln函数泰勒换元展开
:param x: 0<x
:return:ln(x)
'''
def ln_h1(x):
s2 = 0.0
delta = x = (x - 1.0) / (x + 1.0)
i = 0
while fab_h(delta * 2) / (i * 2 + 1) > Epsilon:
s2 += delta / (i * 2 + 1)
delta *= x * x
i += 1
print(i)
return 2 * s2
coef = 0
if x > 10:
while x / 10 > 1:
coef += 1
x /= 10
return ln_h1(x) + coef*ln10
elif x < 1:
while x * 10 < 10:
coef += 1
x *= 10
return ln_h1(x) - coef*ln10
else:
return ln_h1(x)
以上就是本文的全部内容,希望对大家的学习有所帮助,也希望大家多多支持脚本之家。