在图像处理以及图像特效中,经常会用到一种成高斯分布的蒙版,蒙版可以用来做图像融合,将不同内容的两张图像结合蒙版,可以营造不同的艺术效果。

这里II 表示合成后的图像,FF 表示前景图,BB 表示背景图,MM 表示蒙版,或者直接用 蒙版与图像相乘, 形成一种渐变映射的效果。如下所示。

这里介绍一下高斯分布蒙版的特性,并且用Python实现。
高斯分布的蒙版,简单来说,就是一个从中心扩散的亮度分布图,如下所示:

亮度的范围从 1 到 0, 从中心到边缘逐渐减弱,中心的亮度值最高为1,边缘的亮度值最低为 0. 图像上任何一点的亮度值为:

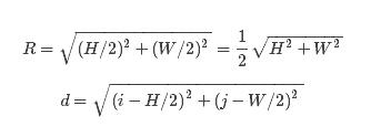
其中 i,ji,j 表示图像上任何一点的坐标,以左上角为坐标原点,dd 表示 图像上任何一点 到图像中心点的距离,RR 表示图像的半径。假设图像的高为 HH 宽为 WW

IMAGE_WIDTH = 512
IMAGE_HEIGHT = 392
center_x = IMAGE_WIDTH/2
center_y = IMAGE_HEIGHT/2
R = np.sqrt(center_x**2 + center_y**2)
Gauss_map = np.zeros((IMAGE_HEIGHT, IMAGE_WIDTH))
# 利用 for 循环 实现
for i in range(IMAGE_HEIGHT):
for j in range(IMAGE_WIDTH):
dis = np.sqrt((i-center_y)**2+(j-center_x)**2)
Gauss_map[i, j] = np.exp(-0.5*dis/R)
# 直接利用矩阵运算实现
mask_x = np.matlib.repmat(center_x, IMAGE_HEIGHT, IMAGE_WIDTH)
mask_y = np.matlib.repmat(center_y, IMAGE_HEIGHT, IMAGE_WIDTH)
x1 = np.arange(IMAGE_WIDTH)
x_map = np.matlib.repmat(x1, IMAGE_HEIGHT, 1)
y1 = np.arange(IMAGE_HEIGHT)
y_map = np.matlib.repmat(y1, IMAGE_WIDTH, 1)
y_map = np.transpose(y_map)
Gauss_map = np.sqrt((x_map-mask_x)**2+(y_map-mask_y)**2)
Gauss_map = np.exp(-0.5*Gauss_map/R)
# 显示和保存生成的图像
plt.figure()
plt.imshow(Gauss_map, plt.cm.gray)
plt.imsave('out_2.jpg', Gauss_map, cmap=plt.cm.gray)
plt.show()
以上这篇Python 图像处理: 生成二维高斯分布蒙版的实例就是小编分享给大家的全部内容了,希望能给大家一个参考,也希望大家多多支持脚本之家。