
点击率预估模型
0.前言
本篇是一个基础机器学习入门篇文章,帮助我们熟悉机器学习中的神经网络结构与使用。
日常中习惯于使用Python各种成熟的机器学习工具包,例如sklearn、TensorFlow等等,来快速搭建各种各样的机器学习模型来解决各种业务问题。
本文将从零开始,仅仅利用基础的numpy库,使用Python实现一个最简单的神经网络(或者说是简易的LR,因为LR就是一个单层的神经网络),解决一个点击率预估的问题。
1.假设一个业务场景
声明:为了简单起见,下面的一切设定从简….
定义需要解决的问题:
老板:小李,这台机器上有一批微博的点击日志数据,你拿去分析一下,然后搞点击率预测啥的…
是的,就是预测一篇微博是否会被用户点击(被点击的概率)…..预测未来,貌似很神奇的样子!
热门微博
简单的介绍一下加深的业务数据
每一条微博数据有由三部分构成: {微博id, 微博特征X, 微博点击标志Y}
微博特征X有三个维度:
X={x0="该微博有娱乐明星”,x1="该微博有图”,x2="该微博有表情”}
微博是否被点击过的标志Y:
Y={y0=“点击”, y1=“未点击”}
数据有了,接下来需要设计一个模型,把数据输入进去进行训练之后,在预测阶段,只需要输入{微博id,微博特征X},模型就会输出每一个微博id会被点击的概率。
2.任务分析:
这是一个有监督的机器学习任务
对于有监督的机器学习任务,可以简单的分为分类与回归问题,这里我们简单的想实现预测一条微博是否会被用户点击,预测目标是一个二值类别:点击,或者不点击,显然可以当做一个分类问题。
所以,我们需要搭建一个分类模型(点击率预测模型),这也就决定我们需要构建一个有监督学习的训练数据集。
模型的选择
选择最简单神经网络模型,人工神经网络有几种不同类型的神经网络,比如前馈神经网络、卷积神经网络及递归神经网络等。本文将以简单的前馈或感知神经网络为例,这种类型的人工神经网络是直接从前到后传递数据的,简称前向传播过程。
3.数据准备:
整体的流程:
数据预处理(数值化编码)——>特征筛选——>选择模型(前馈神经网络)——>训练模型——>模型预测
假设,对4条微博的数据进行数值化编码,可以表示为如下的矩阵格式:

训练数据XY
解读一条样本数据:
第一条样本数据为:X0=[0 0 1],分别对应着三维的特征,最后4x1的矩阵是Y,0表示无,1表示有,可知该特征对应的Y0是未点击。
所以,这条样本可以翻译为:[该微博没娱乐明星,没有图片,有表情],最终y=0,代表该条微博没有被点击。
业务以及数据特征是不是很简单….简单有点看起来编的不太合理 - !
4.神经网络基本结构:
1.输入层:输入的业务特征数据
2.隐藏层:初始化权重参数
3.激活函数:选择激活函数
4.输出层:预测的目标,定义损失函数
我们即将使用的机器学习模型:

超级简单的前馈神经网络
机器学习模型类似一个黑盒子,输入历史点击的数据,进行训练,然后就可以对未来的额数据进行预测….我们上面设计的是一个超级简单的前馈神经网络,但是可以实现我们上面的目的。
关于激活函数:
通过引入激活函数,实现了非线性变换,增强了模型的拟合效果。
关乎激活函数,请看之前的文章 吾爱NLP(2)--解析深度学习中的激活函数
在本文教程中,使用的是简单的Sigmoid激活函数,但注意一点,在深层神经网络模型中, sigmoid激活函数一般不作为首选,原因是其易发生梯度弥散现象。

sigmoid公式
此函数可以将任何值映射到0到1之间,并能帮助我们规范化输入的加权和。

sigmoid图像
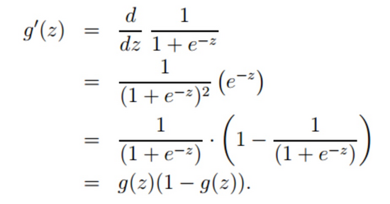
对sigmoid激活函数求偏导:

该偏导函数吗,等下写程序会用到,所以先放在这里!
模型的训练
训练阶段,模型的输入X已经确定,输出层的Y确定,机器学习模型确定,唯一需要求解的就是模型中的权重W,这就是训练阶段的目标。
主要由三个核心的流程构成:
前向计算—>计算损失函数—>反向传播
本文使用的模型是最简单的前馈神经网络,起始就是一个LR而已….所以整个过程这里就不继续介绍了,因为之前已经写过一篇关于LR的文章--- 逻辑回归(LR)个人学习总结篇 ,如果对其中的细节以及公式的推导有疑问,可以去LR文章里面去寻找答案。
这里再提一下权重参数W更新的公式:

至此,所有的写代码需要的细节都已经交代结束了,剩下的就是代码了。
5.使用Python代码构建网络
# coding:utf-8 import numpy as np class NeuralNetwork(): # 随机初始化权重 def __init__(self): np.random.seed(1) self.synaptic_weights = 2 * np.random.random((3, 1)) - 1 # 定义激活函数:这里使用sigmoid def sigmoid(self, x): return 1 / (1 + np.exp(-x)) #计算Sigmoid函数的偏导数 def sigmoid_derivative(self, x): return x * (1 - x) # 训练模型 def train(self, training_inputs, training_outputs,learn_rate, training_iterations): # 迭代训练 for iteration in range(training_iterations): #前向计算 output = self.think(training_inputs) # 计算误差 error = training_outputs - output # 反向传播-BP-微调权重 adjustments = np.dot(training_inputs.T, error * self.sigmoid_derivative(output)) self.synaptic_weights += learn_rate*adjustments def think(self, inputs): # 输入通过网络得到输出 # 转化为浮点型数据类型 inputs = inputs.astype(float) output = self.sigmoid(np.dot(inputs, self.synaptic_weights)) return output if __name__ == "__main__": # 初始化前馈神经网络类 neural_network = NeuralNetwork() print "随机初始化的权重矩阵W" print neural_network.synaptic_weights # 模拟训练数据X train_data=[[0,0,1], [1,1,1], [1,0,1], [0,1,1]] training_inputs = np.array(train_data) # 模拟训练数据Y training_outputs = np.array([[0,1,1,0]]).T # 定义模型的参数: # 参数学习率 learn_rate=0.1 # 模型迭代的次数 epoch=150000 neural_network.train(training_inputs, training_outputs, learn_rate, epoch) print "迭代计算之后权重矩阵W: " print neural_network.synaptic_weights # 模拟需要预测的数据X pre_data=[0,0,1] # 使用训练的模型预测该微博被点击的概率 print "该微博被点击的概率:" print neural_network.think(np.array(pre_data)) """ 终端输出的结果: 随机初始化的权重矩阵W [[-0.16595599] [ 0.44064899] [-0.99977125]] 迭代计算之后权重矩阵W: [[12.41691302] [-0.20410552] [-6.00463275]] 该微博被点击的概率: [0.00246122] [Finished in 20.2s] """
6.总结:
根据终端输出的模型训练以及预测的结果,针对预测数据pre_data=[0,0,1],模型输出该微博被点击的概率为0.00246,很显然被点击的概率比较小,可以认为简单认为该微博不会被点击!
是的,我们的业务目标初步实现了----输入任意一条微博的样本数据到我们的机器学习模型中,既可以输出该样本被点击的概率。
上面的就是我们设计的一个超级简单的模型,假设了一个超级简单的业务场景,并随机设定了超简单的训练数据,如果有 编 的不合理地方多多包涵!!!该例子虽然可能并不能帮你解决实际的业务问题,但是对于机器学习的新手理解神经网络,或许会有一点点帮助吧!
以上所述是小编给大家介绍的用Python搭建超级简单的点击率预估模型,希望对大家有所帮助,如果大家有任何疑问请给我留言,小编会及时回复大家的。在此也非常感谢大家对脚本之家网站的支持!