在学习傅里叶变换的时候遇到了求周期方波信号频谱图的例子,在书上和网上查阅了一些资料,发现大都是讨论的都是下图左边的周期信号的频谱,课程老师的PPT中也只列出了另一种周期信号频谱图的结论,没有在进行傅里叶变换,自己便根据定义推导了一遍,贴在这里作记录和分享之用。
关于傅立叶级数展开的另一讨论在我的另一篇文章https://www.jb51.net/article/144194.htm

2016年11月21号更新
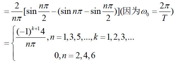
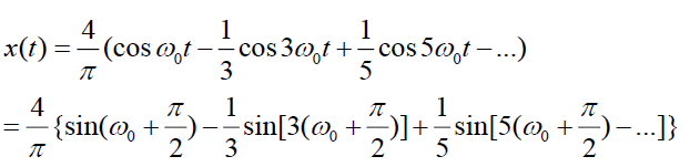
在第二个周期方波信号的傅里叶变换里,注意是

转换为sin函数下为

之前写错了,今天更正。
对于这两种方波信号,我们也可以编程验证一下,就是用正弦函数去逼近方波信号,Python的实现代码如下:
# 分析傅里叶级数分解之后cos和sin的和项的图像输出
from numpy import mgrid,sin,cos,array,pi
from matplotlib.pyplot import plot,show,title,legend,xlabel,ylabel
x = mgrid[0:10:0.02] # 这里类似于MATLAB用冒号产生步长为0.02的序列,但是语法和MATLAB不同
# 下面的这段循环实现y=sin(x)+sin(3x)+...+sin(19x)
def cos_square():
y1 = 0;
for i in range(0,20,1):
b = (-1)**(i)*cos((2*i+1)*x)/(2*i+1)
y1=b+y1 # 这种求和的方法是从C语言移植过来的
plot(x,y1,'orange',linewidth=0.6)
title('cos_square')
xlabel('Time')
ylabel('Amplitude')
show()
def sin_square():
y2 = 0
for i in range(0,20,1):
b = sin((2*i+1)*x)/(2*i+1)
y2=b+y2 # 这种求和的方法是从C语言移植过来的
plot(x,y2,'g',linewidth=0.6)
title('sin_square')
xlabel('Time')
ylabel('Amplitude')
show()
cos_square()
sin_square()
输出结果如下:


由结果可以看两种不同的方波级数展开是正确的
以上就是本文的全部内容,希望对大家的学习有所帮助,也希望大家多多支持脚本之家。