一、BN(Batch Normalization)算法
1. 对数据进行归一化处理的重要性
神经网络学习过程的本质就是学习数据分布,在训练数据与测试数据分布不同情况下,模型的泛化能力就大大降低;另一方面,若训练过程中每批batch的数据分布也各不相同,那么网络每批迭代学习过程也会出现较大波动,使之更难趋于收敛,降低训练收敛速度。对于深层网络,网络前几层的微小变化都会被网络累积放大,则训练数据的分布变化问题会被放大,更加影响训练速度。
2. BN算法的强大之处
1)为了加速梯度下降算法的训练,我们可以采取指数衰减学习率等方法在初期快速学习,后期缓慢进入全局最优区域。使用BN算法后,就可以直接选择比较大的学习率,且设置很大的学习率衰减速度,大大提高训练速度。即使选择了较小的学习率,也会比以前不使用BN情况下的收敛速度快。总结就是BN算法具有快速收敛的特性。
2)BN具有提高网络泛化能力的特性。采用BN算法后,就可以移除针对过拟合问题而设置的dropout和L2正则化项,或者采用更小的L2正则化参数。
3)BN本身是一个归一化网络层,则局部响应归一化层(Local Response Normalization,LRN层)则可不需要了(Alexnet网络中使用到)。
3. BN算法概述
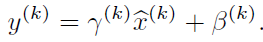
BN算法提出了变换重构,引入了可学习参数γ、β,这就是算法的关键之处:

引入这两个参数后,我们的网络便可以学习恢复出原是网络所要学习的特征分布,BN层的钱箱传到过程如下:

其中m为batchsize。BatchNormalization中所有的操作都是平滑可导,这使得back propagation可以有效运行并学到相应的参数γ,β。需要注意的一点是Batch Normalization在training和testing时行为有所差别。Training时μβ和σβ由当前batch计算得出;在Testing时μβ和σβ应使用Training时保存的均值或类似的经过处理的值,而不是由当前batch计算。
二、TensorFlow相关函数
1.tf.nn.moments(x, axes, shift=None, name=None, keep_dims=False)
x是输入张量,axes是在哪个维度上求解, 即想要 normalize的维度, [0] 代表 batch 维度,如果是图像数据,可以传入 [0, 1, 2],相当于求[batch, height, width] 的均值/方差,注意不要加入channel 维度。该函数返回两个张量,均值mean和方差variance。
2.tf.identity(input, name=None)
返回与输入张量input形状和内容一致的张量。
3.tf.nn.batch_normalization(x, mean, variance, offset, scale, variance_epsilon,name=None)
计算公式为scale(x - mean)/ variance + offset。
这些参数中,tf.nn.moments可得到均值mean和方差variance,offset和scale是可训练的,offset一般初始化为0,scale初始化为1,offset和scale的shape与mean相同,variance_epsilon参数设为一个很小的值如0.001。
三、TensorFlow代码实现
1. 完整代码
import tensorflow as tf
import numpy as np
import matplotlib.pyplot as plt
ACTIVITION = tf.nn.relu
N_LAYERS = 7 # 总共7层隐藏层
N_HIDDEN_UNITS = 30 # 每层包含30个神经元
def fix_seed(seed=1): # 设置随机数种子
np.random.seed(seed)
tf.set_random_seed(seed)
def plot_his(inputs, inputs_norm): # 绘制直方图函数
for j, all_inputs in enumerate([inputs, inputs_norm]):
for i, input in enumerate(all_inputs):
plt.subplot(2, len(all_inputs), j*len(all_inputs)+(i+1))
plt.cla()
if i == 0:
the_range = (-7, 10)
else:
the_range = (-1, 1)
plt.hist(input.ravel(), bins=15, range=the_range, color='#FF5733')
plt.yticks(())
if j == 1:
plt.xticks(the_range)
else:
plt.xticks(())
ax = plt.gca()
ax.spines['right'].set_color('none')
ax.spines['top'].set_color('none')
plt.title("%s normalizing" % ("Without" if j == 0 else "With"))
plt.draw()
plt.pause(0.01)
def built_net(xs, ys, norm): # 搭建网络函数
# 添加层
def add_layer(inputs, in_size, out_size, activation_function=None, norm=False):
Weights = tf.Variable(tf.random_normal([in_size, out_size],
mean=0.0, stddev=1.0))
biases = tf.Variable(tf.zeros([1, out_size]) + 0.1)
Wx_plus_b = tf.matmul(inputs, Weights) + biases
if norm: # 判断是否是Batch Normalization层
# 计算均值和方差,axes参数0表示batch维度
fc_mean, fc_var = tf.nn.moments(Wx_plus_b, axes=[0])
scale = tf.Variable(tf.ones([out_size]))
shift = tf.Variable(tf.zeros([out_size]))
epsilon = 0.001
# 定义滑动平均模型对象
ema = tf.train.ExponentialMovingAverage(decay=0.5)
def mean_var_with_update():
ema_apply_op = ema.apply([fc_mean, fc_var])
with tf.control_dependencies([ema_apply_op]):
return tf.identity(fc_mean), tf.identity(fc_var)
mean, var = mean_var_with_update()
Wx_plus_b = tf.nn.batch_normalization(Wx_plus_b, mean, var,
shift, scale, epsilon)
if activation_function is None:
outputs = Wx_plus_b
else:
outputs = activation_function(Wx_plus_b)
return outputs
fix_seed(1)
if norm: # 为第一层进行BN
fc_mean, fc_var = tf.nn.moments(xs, axes=[0])
scale = tf.Variable(tf.ones([1]))
shift = tf.Variable(tf.zeros([1]))
epsilon = 0.001
ema = tf.train.ExponentialMovingAverage(decay=0.5)
def mean_var_with_update():
ema_apply_op = ema.apply([fc_mean, fc_var])
with tf.control_dependencies([ema_apply_op]):
return tf.identity(fc_mean), tf.identity(fc_var)
mean, var = mean_var_with_update()
xs = tf.nn.batch_normalization(xs, mean, var, shift, scale, epsilon)
layers_inputs = [xs] # 记录每一层的输入
for l_n in range(N_LAYERS): # 依次添加7层
layer_input = layers_inputs[l_n]
in_size = layers_inputs[l_n].get_shape()[1].value
output = add_layer(layer_input, in_size, N_HIDDEN_UNITS, ACTIVITION, norm)
layers_inputs.append(output)
prediction = add_layer(layers_inputs[-1], 30, 1, activation_function=None)
cost = tf.reduce_mean(tf.reduce_sum(tf.square(ys - prediction),
reduction_indices=[1]))
train_op = tf.train.GradientDescentOptimizer(0.001).minimize(cost)
return [train_op, cost, layers_inputs]
fix_seed(1)
x_data = np.linspace(-7, 10, 2500)[:, np.newaxis]
np.random.shuffle(x_data)
noise =np.random.normal(0, 8, x_data.shape)
y_data = np.square(x_data) - 5 + noise
plt.scatter(x_data, y_data)
plt.show()
xs = tf.placeholder(tf.float32, [None, 1])
ys = tf.placeholder(tf.float32, [None, 1])
train_op, cost, layers_inputs = built_net(xs, ys, norm=False)
train_op_norm, cost_norm, layers_inputs_norm = built_net(xs, ys, norm=True)
with tf.Session() as sess:
sess.run(tf.global_variables_initializer())
cost_his = []
cost_his_norm = []
record_step = 5
plt.ion()
plt.figure(figsize=(7, 3))
for i in range(250):
if i % 50 == 0:
all_inputs, all_inputs_norm = sess.run([layers_inputs, layers_inputs_norm],
feed_dict={xs: x_data, ys: y_data})
plot_his(all_inputs, all_inputs_norm)
sess.run([train_op, train_op_norm],
feed_dict={xs: x_data[i*10:i*10+10], ys: y_data[i*10:i*10+10]})
if i % record_step == 0:
cost_his.append(sess.run(cost, feed_dict={xs: x_data, ys: y_data}))
cost_his_norm.append(sess.run(cost_norm,
feed_dict={xs: x_data, ys: y_data}))
plt.ioff()
plt.figure()
plt.plot(np.arange(len(cost_his))*record_step,
np.array(cost_his), label='Without BN') # no norm
plt.plot(np.arange(len(cost_his))*record_step,
np.array(cost_his_norm), label='With BN') # norm
plt.legend()
plt.show()
2. 实验结果
输入数据分布:

批标准化BN效果对比:

以上就是本文的全部内容,希望对大家的学习有所帮助,也希望大家多多支持脚本之家。