线性回归属于监督学习,因此方法和监督学习应该是一样的,先给定一个训练集,根据这个训练集学习出一个线性函数,然后测试这个函数训练的好不好(即此函数是否足够拟合训练集数据),挑选出最好的函数(cost function最小)即可。
单变量线性回归:
a) 因为是线性回归,所以学习到的函数为线性函数,即直线函数;
b) 因为是单变量,因此只有一个x。
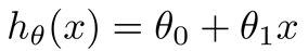
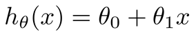
我们能够给出单变量线性回归的模型:
我们常称x为feature,h(x)为hypothesis。
上面介绍的方法中,我们肯定有一个疑问,怎样能够看出线性函数拟合的好不好呢?
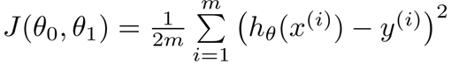
所以此处,我们需要使用到Cost Function(代价函数),代价函数越小,说明线性回归也越好(和训练集合拟合的越好),当然最小就是0,即完全拟合。
举个实际的例子:
我们想要根据房子的大小,预测房子的价格,给定如下数据集:

根据上面的数据集,画出如下所示的图:

我们需要根据这些点拟合出一条直线,使得Cost Function最小。虽然现在我们还不知道Cost Function内部到底是什么样的,但是我们的目标是:给定输入向量x,输出向量y,theta向量,输出Cost值。
Cost Function:
Cost Function的用途:对假设的函数进行评价,Cost Function越小的函数,说明对训练数据拟合的越好。
下图详细说明了当Cost Function为黑盒的时候,Cost Function的作用:

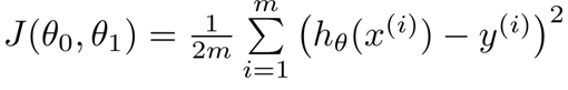
但是我们肯定想知道Cost Function的内部结构是什么?因此我们给出下面的公式:
其中:
表示向量x中的第i个元素;
表示向量y中的第i个元素;
表示已知的假设函数;m表示训练集的数量。
如果theta0一直为0,则theta1与J的函数为:

如果theta0和theta1都不固定,则theta0、theta1、J的函数为:

当然我们也能够用二维的图来表示,即等高线图:

注意如果是线性回归,则cost function一定是碗状的,即只有一个最小点。
Gradient Descent(梯度下降):
但是又一个问题引出来了,虽然给定一个函数,我们能够根据cost function知道这个函数拟合的好不好,但是毕竟函数有这么多,总不能一个一个试吧?
于是我们引出了梯度下降:能够找出cost function函数的最小值。(当然解决问题的方法有很多,梯度下降只是其中一个,还有一种方法叫Normal Equation)。
梯度下降的原理:将函数比作一座山,我们站在某个山坡上,往四周看,从哪个方向向下走一小步,能够下降的最快。
方法:
a) 先确定向下一步的步伐大小,我们称为learning rate;
b) 任意给定一个初始值:
和
;
c) 确定一个向下的方向,并向下走预定的步伐,并更新
和
;
d) 当下降的高度小于某个定义的值,则停止下降。
算法:

特点:
a)初始点不同,获得的最小值也不同,因此梯度下降求得的只是局部最小值;
b)越接近最小值,下降速度越慢。
问题1:如果
和
初始值就在local minimum的位置,则
、
会如何变化?
答案:因为
、
已经在local minimum位置,所以derivative肯定是0,因此
、
不会改变。
问题2:如果取到一个正确的
值,则cost function应该会越来越小。那么,怎么取
值?
答案:随时观察
值,如果cost function变小了,则OK;反之,则再取一个更小的值。
下图就详细说明了梯度下降的过程:

从上图中可以看出:初始点不同,获得的最小值也不同,因此,梯度下降求得的只是局部最小值。
注意:下降的步伐大小非常重要,因为,如果太小,则找到函数最小值的速度就很慢;如果太大,则可能会出现overshoot the minimum现象。
下图就是overshoot现象:

如果Learning Rate取值后发现J function增长了,则需要减小Learning Rate的值。
Integrating with Gradient Descent & Linear Regression:
梯度下降能够求出一个函数的最小值。
线性回归需要求得最小的Cost Function。
因此我们能够对Cost Function运用梯度下降,即将梯度下降和线性回归进行整合,如下图所示:

梯度下降是通过不停的迭代,而我们比较关注迭代的次数,因为这关系到梯度下降的执行速度,为了减少迭代次数,因此引入了Feature Scaling。
Feature Scaling:
此种方法应用于梯度下降,为了加快梯度下降的执行速度。
思想:将各个feature的值标准化,使得取值范围大致都在-1<=x<=1之间。
常用的方法是Mean Normalization,即
,或者[X-mean(X)]/std(X)。
练习题
我们想要通过期中考试成绩预测期末考试成绩,我们希望得到的方程为:
给定以下训练集:
我们想对(midterm exam)^2进行feature scaling,则
经过feature scaling后的值为多少?
解答:其中max = 8836,min = 4761,mean = 6675.5,则
= (4761 - 6675.5)/(8836 - 4761) = -0.47 。
多变量线性回归
前面我们只介绍了单变量的线性回归,即只有一个输入变量,现实世界可不只是这么简单,因此此处我们要介绍多变量的线性回归。
举个例子:房价其实受很多因素决定,比如size、number of bedrooms、number of floors、age of home等,这里我们假设房价由4个因素决定,如下图所示:
我们前面定义过单变量线性回归的模型:
这里我们可以定义出多变量线性回归的模型:
Cost Function如下:
如果下面我们要用梯度下降解决多变量的线性回归,则我们还是可以用传统的梯度下降算法进行计算:
总练习题
我们想要根据一个学生第一年的成绩预测第二年的成绩,x为第一年得到A的数量,y为第二年得到A的数量,给定以下数据集:
(1) 训练集的个数?
答:4个。
(2) J(0, 1)的结果是多少?
解:J(0,1) = 1/(2*4)*[(3-4)^2+(2-1)^2+(4-3)^2+(0-1)^2] = 1/8*(1+1+1+1) = 1/2 = 0.5。
我们也可以通过vectorization的方法快速算出J(0, 1):
下面是通过TensorFlow进行简单的实现:
#!/usr/bin/env python
from __future__ import print_function
import tensorflow as tf
import numpy as np
trX = np.linspace(-1, 1, 101)
# create a y value which is approximately linear but with some random noise
trY = 2 * trX + \
np.ones(*trX.shape) * 4 + \
np.random.randn(*trX.shape) * 0.03
X = tf.placeholder(tf.float32) # create symbolic variables
Y = tf.placeholder(tf.float32)
def model(X, w, b):
# linear regression is just X*w + b, so this model line is pretty simple
return tf.mul(X, w) + b
# create a shared for weight s
w = tf.Variable(0.0, name="weights")
# create a variable for biases
b = tf.Variable(0.0, name="biases")
y_model = model(X, w, b)
cost = tf.square(Y - y_model) # use square error for cost function
# construct an optimizer to minimize cost and fit line to mydata
train_op = tf.train.GradientDescentOptimizer(0.01).minimize(cost)
# launch the graph in a session
with tf.Session() as sess:
# you need to initialize variables (in this case just variable w)
init = tf.initialize_all_variables()
sess.run(init)
# train
for i in range(100):
for (x, y) in zip(trX, trY):
sess.run(train_op, feed_dict={X: x, Y: y})
# print weight
print(sess.run(w)) # it should be something around 2
# print bias
print(sess.run(b)) # it should be something atound 4
参考:
以上就是本文的全部内容,希望对大家的学习有所帮助,也希望大家多多支持脚本之家。