什么是机器学习 (Machine Learning)
机器学习是研究计算机怎样模拟或实现人类的学习行为,以获取新的知识或技能,重新组织已有的知识结构使之不断改善自身的性能。它是人工智能的核心,是使计算机具有智能的根本途径,其应用遍及人工智能的各个领域。
机器学习的大致分类:
1)分类(模式识别):要求系统依据已知的分类知识对输入的未知模式(该模式的描述)作分析,以确定输入模式的类属,例如手写识别(识别是不是这个数)。
2)问题求解:要求对于给定的目标状态,寻找一个将当前状态转换为目标状态的动作序列。
SVM一般是用来分类的(一般先分为两类,再向多类推广一生二,二生三,三生万物哈)

问题的描述
向量表示:假设一个样本有n个变量(特征):Ⅹ= (X1,X2,…,Xn)T
样本表示方法:

SVM线性分类器
SVM从线性可分情况下的最优分类面发展而来。最优分类面就是要求分类线不但能将两类正确分开(训练错误率为0),且使分类间隔最大。SVM考虑寻找一个满足分类要求的超平面,并且使训练集中的点距离分类面尽可能的远,也就是寻找一个分类面使它两侧的空白区域(margin)最大。
过两类样本中离分类面最近的点且平行于最优分类面的超平面上H1,H2的训练样本就叫做支持向量。
图例:

问题描述:
假定训练数据 :
可以被分为一个超平面:
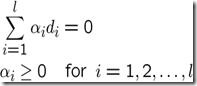
进行归一化:
此时分类间隔等于:
即使得:最大间隔最大等价于使
最小
下面这两张图可以看一下,有个感性的认识。那个好?

看下面这张图:

下面我们要开始优化上面的式子,因为推导要用到拉格朗日定理和KKT条件,所以我们先了解一下相关知识。在求取有约束条件的优化问题时,拉格朗日乘子法(Lagrange Multiplier) 和KKT条件是非常重要的两个求取方法,对于等式约束的优化问题,可以应用拉格朗日乘子法去求取最优值;如果含有不等式约束,可以应用KKT条件去求取。当然,这两个方法求得的结果只是必要条件,只有当是凸函数的情况下,才能保证是充分必要条件。KKT条件是拉格朗日乘子法的泛化。之前学习的时候,只知道直接应用两个方法,但是却不知道为什么拉格朗日乘子法(Lagrange Multiplier) 和KKT条件能够起作用,为什么要这样去求取最优值呢?
拉格朗日乘子法和KKT条件
定义:给定一个最优化问题:
最小化目标函数:
制约条件:
定义拉格朗日函数为:

求偏倒方程

可以求得
的值。这个就是神器拉格朗日乘子法。
上面的拉格朗日乘子法还不足以帮我们解决所有的问题,下面引入不等式约束
最小化目标函数:
制约条件变为:

定义拉格朗日函数为:

可以列出方程:

新增加的条件被称为KKT条件
KKT条件详解
对于含有不等式约束的优化问题,如何求取最优值呢?常用的方法是KKT条件,同样地,把所有的不等式约束、等式约束和目标函数全部写为一个式子L(a, b, x)= f(x) + a*g(x)+b*h(x),KKT条件是说最优值必须满足以下条件:
1. L(a, b, x)对x求导为零;
2. h(x) =0;
3. a*g(x) = 0;
求取这三个等式之后就能得到候选最优值。其中第三个式子非常有趣,因为g(x)<=0,如果要满足这个等式,必须a=0或者g(x)=0. 这是SVM的很多重要性质的来源,如支持向量的概念。
二. 为什么拉格朗日乘子法(Lagrange Multiplier) 和KKT条件能够得到最优值?
为什么要这么求能得到最优值?先说拉格朗日乘子法,设想我们的目标函数z = f(x), x是向量, z取不同的值,相当于可以投影在x构成的平面(曲面)上,即成为等高线,如下图,目标函数是f(x, y),这里x是标量,虚线是等高线,现在假设我们的约束g(x)=0,x是向量,在x构成的平面或者曲面上是一条曲线,假设g(x)与等高线相交,交点就是同时满足等式约束条件和目标函数的可行域的值,但肯定不是最优值,因为相交意味着肯定还存在其它的等高线在该条等高线的内部或者外部,使得新的等高线与目标函数的交点的值更大或者更小,只有到等高线与目标函数的曲线相切的时候,可能取得最优值,如下图所示,即等高线和目标函数的曲线在该点的法向量必须有相同方向,所以最优值必须满足:f(x)的梯度 = a* g(x)的梯度,a是常数,表示左右两边同向。这个等式就是L(a,x)对参数求导的结果。(上述描述,我不知道描述清楚没,如果与我物理位置很近的话,直接找我,我当面讲好理解一些,注:下图来自wiki)。

而KKT条件是满足强对偶条件的优化问题的必要条件,可以这样理解:我们要求min f(x), L(a, b, x) = f(x) + a*g(x) + b*h(x),a>=0,我们可以把f(x)写为:max_{a,b} L(a,b,x),为什么呢?因为h(x)=0, g(x)<=0,现在是取L(a,b,x)的最大值,a*g(x)是<=0,所以L(a,b,x)只有在a*g(x) = 0的情况下才能取得最大值,否则,就不满足约束条件,因此max_{a,b} L(a,b,x)在满足约束条件的情况下就是f(x),因此我们的目标函数可以写为 min_x max_{a,b} L(a,b,x)。如果用对偶表达式: max_{a,b} min_x L(a,b,x),由于我们的优化是满足强对偶的(强对偶就是说对偶式子的最优值是等于原问题的最优值的),所以在取得最优值x0的条件下,它满足 f(x0) = max_{a,b} min_x L(a,b,x) = min_x max_{a,b} L(a,b,x) =f(x0),我们来看看中间两个式子发生了什么事情:
f(x0) = max_{a,b} min_x L(a,b,x) = max_{a,b} min_x f(x) + a*g(x) + b*h(x) = max_{a,b} f(x0)+a*g(x0)+b*h(x0) = f(x0)
可以看到上述加黑的地方本质上是说 min_x f(x) + a*g(x) + b*h(x) 在x0取得了最小值,用Fermat定理,即是说对于函数 f(x) + a*g(x) + b*h(x),求取导数要等于零,即
f(x)的梯度+a*g(x)的梯度+ b*h(x)的梯度 = 0
这就是KKT条件中第一个条件:L(a, b, x)对x求导为零。
而之前说明过,a*g(x) = 0,这时KKT条件的第3个条件,当然已知的条件h(x)=0必须被满足,所有上述说明,满足强对偶条件的优化问题的最优值都必须满足KKT条件,即上述说明的三个条件。可以把KKT条件视为是拉格朗日乘子法的泛化。
上面跑题了,下面我继续我们的SVM之旅。
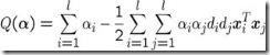
经过拉格朗日乘子法和KKT条件推导之后
最终问题转化为:
最大化:
条件:

这个是著名的QP问题。决策面:
其中
为问题的优化解。
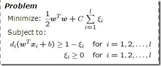
松弛变量(slack vaviable)
由于在采集数据的过程中,也可能有误差(如图)

所以我们引入松弛变量对问题进行优化。
式子就变为
最终转化为下面的优化问题:

其中的C是惩罚因子,是一个由用户去指定的系数,表示对分错的点加入多少的惩罚,当C很大的时候,分错的点就会更少,但是过拟合的情况可能会比较严重,当C很小的时候,分错的点可能会很多,不过可能由此得到的模型也会不太正确。
上面那个个式子看似复杂,现在我带大家一起推倒一下
……
…(草稿纸上,敲公式太烦人了)
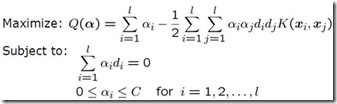
最终得到:
最大化:

条件:

呵呵,是不是感觉和前面的式子没啥区别内,亲,数学就是这么美妙啊。
这个式子看起来beautiful,但是多数情况下只能解决线性可分的情况,只可以对线性可分的样本做处理。如果提供的样本线性不可分,结果很简单,线性分类器的求解程序会无限循环,永远也解不出来。但是不怕不怕。我们有杀手锏还没有出呢。接着咱要延伸到一个新的领域:核函数。嘻嘻,相信大家都应该听过这厮的大名,这个东东在60年代就提出来,可是直到90年代才开始火起来(第二春哈),主要是被Vapnik大大翻出来了。这也说明计算机也要多研读经典哈,不是说过时了就不看的,有些大师的论文还是有启发意义的。废话不多说,又跑题了。
核函数
那到底神马是核函数呢?
介个咱得先介绍一下VC维的概念。
为了研究经验风险最小化函数集的学习一致收敛速度和推广性,SLT定义了一些指标来衡量函数集的性能,其中最重要的就是VC维(Vapnik-Chervonenkis Dimension)。
VC维定义:对于一个指示函数(即只有0和1两种取值的函数)集,如果存在h个样本能够被函数集里的函数按照所有可能的2h种形式分开,则称函数集能够把h个样本打散,函数集的VC维就是能够打散的最大样本数目。
如果对任意的样本数,总有函数能打散它们,则函数集的VC维就是无穷大。
看图比较方便(三个点分类,线性都可分的)。

如果四个点呢?哈哈,右边的四个点要分为两个类,可能就分不啦。

如果四个点,一条线可能就分不过来啦。
一般而言,VC维越大, 学习能力就越强,但学习机器也越复杂。
目前还没有通用的关于计算任意函数集的VC维的理论,只有对一些特殊函数集的VC维可以准确知道。
N维实数空间中线性分类器和线性实函数的VC维是n+1。
Sin(ax)的VC维为无穷大。
对于给定的学习函数集,如何计算其VC维是当前统计学习理论研究中有待解决的一个难点问题,各位童鞋有兴趣可以去研究研究。
咱们接着要说说为啥要映射。
例子是下面这张图:
下面这段来自百度文库
俺觉得写的肯定比我好,所以咱就选择站在巨人的肩膀上啦。

我们把横轴上端点a和b之间红色部分里的所有点定为正类,两边的黑色部分里的点定为负类。试问能找到一个线性函数把两类正确分开么?不能,因为二维空间里的线性函数就是指直线,显然找不到符合条件的直线。
但我们可以找到一条曲线,例如下面这一条:

显然通过点在这条曲线的上方还是下方就可以判断点所属的类别(你在横轴上随便找一点,算算这一点的函数值,会发现负类的点函数值一定比0大,而正类的一定比0小)。这条曲线就是我们熟知的二次曲线,它的函数表达式可以写为:

问题只是它不是一个线性函数,但是,下面要注意看了,新建一个向量y和a:

这样g(x)就可以转化为f(y)=<a,y>,你可以把y和a分别回带一下,看看等不等于原来的g(x)。用内积的形式写你可能看不太清楚,实际上f(y)的形式就是:
g(x)=f(y)=ay
在任意维度的空间中,这种形式的函数都是一个线性函数(只不过其中的a和y都是多维向量罢了),因为自变量y的次数不大于1。
看出妙在哪了么?原来在二维空间中一个线性不可分的问题,映射到四维空间后,变成了线性可分的!因此这也形成了我们最初想解决线性不可分问题的基本思路——向高维空间转化,使其变得线性可分。
而转化最关键的部分就在于找到x到y的映射方法。遗憾的是,如何找到这个映射,没有系统性的方法(也就是说,纯靠猜和凑)。具体到我们的文本分类问题,文本被表示为上千维的向量,即使维数已经如此之高,也常常是线性不可分的,还要向更高的空间转化。其中的难度可想而知。
为什么说f(y)=ay是四维空间里的函数?
大家可能一时没看明白。回想一下我们二维空间里的函数定义 g(x)=ax+b 变量x是一维的,为什么说它是二维空间里的函数呢?因为还有一个变量我们没写出来,它的完整形式其实是 y=g(x)=ax+b 即 y=ax+b 看看,有几个变量?两个。那是几维空间的函数? 再看看 f(y)=ay 里面的y是三维的变量,那f(y)是几维空间里的函数?
用一个具体文本分类的例子来看看这种向高维空间映射从而分类的方法如何运作,想象一下,我们文本分类问题的原始空间是1000维的(即每个要被分类的文档被表示为一个1000维的向量),在这个维度上问题是线性不可分的。现在我们有一个2000维空间里的线性函数
f(x')=<w',x'>+b
注意向量的右上角有个 '哦。它能够将原问题变得可分。式中的 w'和x'都是2000维的向量,只不过w'是定值,而x'是变量(好吧,严格说来这个函数是2001维的,哈哈),现在我们的输入呢,是一个1000维的向量x,分类的过程是先把x变换为2000维的向量x',然后求这个变换后的向量x'与向量w'的内积,再把这个内积的值和b相加,就得到了结果,看结果大于阈值还是小于阈值就得到了分类结果。
你发现了什么?我们其实只关心那个高维空间里内积的值,那个值算出来了,分类结果就算出来了。而从理论上说, x'是经由x变换来的,因此广义上可以把它叫做x的函数(有一个x,就确定了一个x',对吧,确定不出第二个),而w'是常量,它是一个低维空间里的常量w经过变换得到的,所以给了一个w 和x的值,就有一个确定的f(x')值与其对应。这让我们幻想,是否能有这样一种函数K(w,x),他接受低维空间的输入值,却能算出高维空间的内积值<w',x'>?
如果有这样的函数,那么当给了一个低维空间的输入x以后,
g(x)=K(w,x)+b
f(x')=<w',x'>+b
这两个函数的计算结果就完全一样,我们也就用不着费力找那个映射关系,直接拿低维的输入往g(x)里面代就可以了(再次提醒,这回的g(x)就不是线性函数啦,因为你不能保证K(w,x)这个表达式里的x次数不高于1哦)。
万幸的是,这样的K(w,x)确实存在(发现凡是我们人类能解决的问题,大都是巧得不能再巧,特殊得不能再特殊的问题,总是恰好有些能投机取巧的地方才能解决,由此感到人类的渺小),它被称作核函数(核,kernel),而且还不止一个,事实上,只要是满足了Mercer条件的函数,都可以作为核函数。核函数的基本作用就是接受两个低维空间里的向量,能够计算出经过某个变换后在高维空间里的向量内积值。几个比较常用的核函数,俄,教课书里都列过,我就不敲了(懒!)。
回想我们上节说的求一个线性分类器,它的形式应该是:

现在这个就是高维空间里的线性函数(为了区别低维和高维空间里的函数和向量,我改了函数的名字,并且给w和x都加上了 '),我们就可以用一个低维空间里的函数(再一次的,这个低维空间里的函数就不再是线性的啦)来代替,

又发现什么了?f(x') 和g(x)里的α,y,b全都是一样一样的!这就是说,尽管给的问题是线性不可分的,但是我们就硬当它是线性问题来求解,只不过求解过程中,凡是要求内积的时候就用你选定的核函数来算。这样求出来的α再和你选定的核函数一组合,就得到分类器啦!
明白了以上这些,会自然的问接下来两个问题:
1. 既然有很多的核函数,针对具体问题该怎么选择?
2. 如果使用核函数向高维空间映射后,问题仍然是线性不可分的,那怎么办?
第一个问题现在就可以回答你:对核函数的选择,现在还缺乏指导原则!各种实验的观察结果(不光是文本分类)的确表明,某些问题用某些核函数效果很好,用另一些就很差,但是一般来讲,径向基核函数是不会出太大偏差的一种,首选。(我做文本分类系统的时候,使用径向基核函数,没有参数调优的情况下,绝大部分类别的准确和召回都在85%以上。
感性理解,映射图:

常用的两个Kernel函数:
多项式核函数:
高斯核函数:
定义:
将核函数带入,问题又转化为线性问题啦,如下:

求
,其中
式子是有了,但是如何求结果呢?不急不急,我会带着大家一步一步的解决这个问题,并且通过动手编程使大家对这个有个问题有个直观的认识。(PS:大家都对LIBSVM太依赖了,这样无助于深入的研究与理解,而且我觉得自己动手实现的话会比较有成就感)
以上就是本文的全部内容,希望对大家的学习有所帮助,也希望大家多多支持脚本之家。