前面楼主分别讨论了数据结构栈与队列的实现,当时所用的数据结构都是用的数组来进行实现,但是数组有的时候并不是最佳的数据结构,比如在数组中新增删除元素的时候需要将其他元素进行移动,而在javascript中使用spit()方法不需要访问其他元素。如果你在使用数组的时候发现很慢,就可以考虑使用链表。
链表的概念
链表是一种常见的数据结构。它是动态地进行存储分配的一种结构。链表有一个“头指针”变量,以head表示,它存放一个地址,指向一个元素。每个结点都使用一个对象的引用指标它的后继,指向另一个结点的引用叫做链。

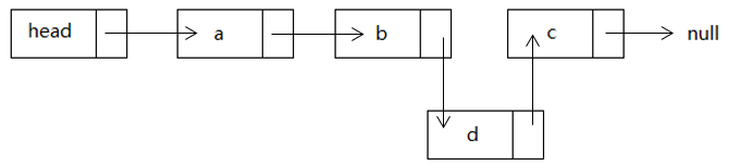
数组元素依靠下标(位置)来进行引用,而链表元素则是靠相互之间的关系来进行引用。因此链表的插入效率很高,下图演示了链表结点d的插入过程:

删除过程:

基于对象的链表
我们定义2个类,Node类与LinkedList类,Node为结点数据,LinkedList保存操作链表的方法。
首先看Node类:
function Node(element){
this.element = element;
this.next = null;
}
element用来保存结点上的数据,next用来保存指向一下结点的的链接。
LinkedList类:
function LinkedList(){
this.head = new Node('head');
this.find = find;
this.insert = insert;
this.remove = remove;
this.show = show;
}
find()方法,从头结点开始,沿着链表结点一直查找,直到找到与item内容相等的element则返回该结点,没找到则返回空。
function find(item){
var currentNode = this.head;//从头结点开始
while(currentNode.element!=item){
currentNode = currentNode.next;
}
return currentNode;//找到返回结点数据,没找到返回null
}
Insert方法。通过前面元素插入的演示可以看出,实现插入简单四步:
1、创建结点
2、找到目标结点
3、修改目标结点的next指向链接
4、将目标结点的next值赋值给要插入的结点的next
function insert(newElement,item){
var newNode = new Node(newElement);
var currentNode = this.find(item);
newNode.next = currentNode.next;
currentNode.next = newNode;
}
Remove()方法。删除某一节点需要先找到被删除结点的前结点,为此我们定义方法frontNode():
function frontNode(item){
var currentNode = this.head;
while(currentNode.next.element!=item&¤tNode.next!=null){
currentNode = currentNode.next;
}
return currentNode;
}
简答三步:
1、创建结点
2、找到目标结点的前结点
3、修改前结点的next指向被删除结点的n后一个结点
function remove(item){
var frontNode = this.frontNode(item);
//console.log(frontNode.element);
frontNode.next = frontNode.next.next;
}
Show()方法:
function show(){
var currentNode = this.head,result;
while(currentNode.next!=null){
result += currentNode.next.element;//为了不显示head结点
currentNode = currentNode.next;
}
}
测试程序:
var list = new LinkedList();
list.insert("a","head");
list.insert("b","a");
list.insert("c","b");
console.log(list.show());
list.remove("b");
console.log(list.show());
输出:

双向链表
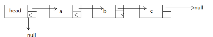
从链表的头节点遍历到尾节点很简单,但有的时候,我们需要从后向前遍。此时我们可以通过给 Node 对象增加一个属性,该属性存储指向前驱节点的链接。楼主用下图来双向链表的工作原理。

首先我们先给Node类增加front属性:
function Node(element){
this.element = element;
this.next = null;
this.front = null;
}
当然,对应的insert()方法和remove()方法我们也需要做相应的修改:
function insert(newElement,item){
var newNode = new Node(newElement);
var currentNode = this.find(item);
newNode.next = currentNode.next;
newNode.front = currentNode;//增加front指向前驱结点
currentNode.next = newNode;
}
function remove(item){
var currentNode = this.find(item);//找到需要删除的节点
if (currentNode.next != null) {
currentNode.front.next = currentNode.next;//让前驱节点指向需要删除的节点的下一个节点
currentNode.next.front = currentNode.front;//让后继节点指向需要删除的节点的上一个节点
currentNode.next = null;//并设置前驱与后继的指向为空
currentNode.front = null;
}
}
反序显示链表:
需要给双向链表增加一个方法,用来查找最后的节点。 findLast() 方法找出了链表中的最后一个节点,可以免除从前往后遍历链。
function findLast() {//查找链表的最后一个节点
var currentNode = this.head;
while (currentNode.next != null) {
currentNode = currentNode.next;
}
return currentNode;
}
实现反序输出:
function showReverse() {
var currentNode = this.head, result = "";
currentNode = this.findLast();
while(currentNode.front!=null){
result += currentNode.element + " ";
currentNode = currentNode.front;
}
return result;
}
测试程序:
var list = new LinkedList();
list.insert("a","head");
list.insert("b","a");
list.insert("c","b");
console.log(list);
list.remove("b");
console.log(list.show());
console.log(list.showReverse());
输出:

循环链表
循环链表是另一种形式的链式存贮结构。它的特点是表中最后一个结点的指针域指向头结点,整个链表形成一个环。循环链表和单向链表相似,节点类型都是一样的。唯一的区别是,在创建循环链表时,让其头节点的 next 属性指向它本身,即:
head.next = head
这种行为会传导至链表中的每个节点,使得每个节点的 next 属性都指向链表的头节点。楼主用下图来表示循环链表:

修改构造方法:
function LinkedList(){
this.head = new Node('head');//初始化
this.head.next = this.head;//直接将头节点的next指向头节点形成循环链表
this.find = find;
this.frontNode = frontNode;
this.insert = insert;
this.remove = remove;
this.show = show;
}
这时需要注意链表的输出方法show()与find()方法,原来的方式在循环链表里会陷入死循环,while循环的循环条件需要修改为当循环到头节点时退出循环。
function find(item){
var currentNode = this.head;//从头结点开始
while(currentNode.element!=item&¤tNode.next.element!='head'){
currentNode = currentNode.next;
}
return currentNode;//找到返回结点数据,没找到返回null
}
function show(){
var currentNode = this.head,result = "";
while (currentNode.next != null && currentNode.next.element != "head") {
result += currentNode.next.element + " ";
currentNode = currentNode.next;
}
return result;
}
测试程序:
var list = new LinkedList();
list.insert("a","head");
list.insert("b","a");
list.insert("c","b");
console.log(list.show());
list.remove("b");
console.log(list.show());
测试结果:

本文用到的示例代码地址:https://github.com/LJunChina/JavaScript
以上就是本文的全部内容,希望本文的内容对大家的学习或者工作能带来一定的帮助,同时也希望多多支持脚本之家!