一哈夫曼树以及文件压缩原理:
1.哈夫曼树 :
给定N个权值作为N个叶子结点,构造一棵二叉树,若该树的带权路径长度达到最小,称这样的二叉树为最优二叉树,也称为哈夫曼树。哈夫曼树是带权路径长度最短的树,权值较大的结点离根较近(频率越高的结点离根越进)。
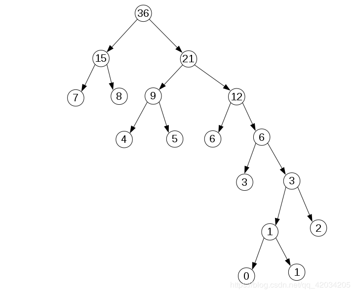
以 下数组为例,构建哈夫曼树
int a[] = {0,1,2,3,4,5,6,7,8}

我们可以发现以下规律
1:9个数构成的哈夫曼树一共有17个结点,也就是可以n个数可以生产2*n-1个结点
2:数字越大的数离根节点越近,越小的数离根节点越近。
2.如何利用haffman编码实现文件压缩:
比如abc.txt文件中有以下字符:aaaabbbccde,
1.进行字符统计
aaaabbbccde a : 4次 b : 3次 c : 2次 d : 1次 e : 1次
2.用统计结果构建哈夫曼树

3.用哈夫曼树生成哈夫曼编码(从根结点开始,路径左边记为0,右边记为1):
a的编码:1 b的编码:01 c的编码:000 d的编码:0011 e的编码:0010
4.哈夫曼编码代替字符,进行压缩。
源文件内容为:aaaabbbccde
将源文件用对应的哈夫曼编码(haffman code)替换,则有:11110101 01000000 00110010 (总共3个字节)
由此可见,源文件一共有11个字符,占11字节的内存,但是经过用haffman code替换之后,只占3个字节,这样就能达到压缩的目的
二主要技术点:
1.哈夫曼树算法(哈夫曼压缩的基本算法)
2.哈希算法(字符统计时候会用到,也可以直接用HashMap统计)
3.位运算(涉及到将指定位,置0或置1)
4.java文件操作,以及缓冲操作。
5.存储模式(大端存储,小端存储,能看懂文件16进制的形式)
7.设置压缩密码,解压输入密码解压(小编自己加的内容)
三实现过程:
以上述aaaabbbccde为例
1.字符统计:
public class FreqHuf {
public static int BUFFER_SIZE = 1 << 18;
int freq[] = new int[256];
File file;
int count;
List<HuffmanFreq> list;
FreqHuf(String pathname) throws Exception {
list = new ArrayList<>();
this.file = new File(pathname);
if(!file.exists()){
throw new Exception("文件不存在");
}
System.out.println("进行字符统计中");
CensusChar();
System.out.println("字符统计完毕");
}
public void CensusChar() throws IOException{
int intchar;
FileInputStream fis = new FileInputStream(file);
System.out.println("统计中");
//这种统计处理方案,速度极慢,不建议使用,以下采用缓存读数据。
// while((intchar = fis.read()) != -1){
// freq[intchar]++;
// }
//这里采用缓存机制,一次读1 << 18个字节,大大提高效率。
byte[] bytes = new byte[BUFFER_SIZE];
while((intchar = fis.read(bytes))!= -1){
for(int i = 0; i < intchar;i++){
int temp = bytes[i]& 0xff;
freq[temp]++;
}
}
fis.close();
for(int i = 0; i < 256; i++){
if(freq[i] != 0){
this.count++;
}
}
int index = 0;
for(int i = 0; i < 256; i++){
if(freq[i] != 0){
HuffmanFreq huffman = new HuffmanFreq();
huffman.character = (char)i;
huffman.freq = freq[i];
list.add(index, huffman);
}
}
}
}
//统计每个字符和其频率的类
public class HuffmanFreq {
char character;
int freq;
HuffmanFreq() {
}
HuffmanFreq(int character,int freq) {
this.character = (char)character;
this.freq = freq;
}
char getCharacter() {
return character;
}
void setCharacter(int character) {
this.character = (char)character;
}
int getFreq() {
return freq;
}
void setFreq(int freq) {
this.freq = freq;
}
byte[] infoToByte(){
byte[] bt = new byte[6];
byte[] b1 = ByteAnd8Types.charToByte(character);
for(int i= 0; i < b1.length;i++){
bt[i] = b1[i];
}
byte[] b2 = ByteAnd8Types.intToBytes2(freq);
int index = 2;
for(int i= 0; i < b2.length;i++){
bt[index++] = b2[i];
}
return bt;
}
@Override
public String toString() {
return "Huffman [character=" + character + ", freq=" + freq + "]";
}
}
2.用统计结果构建哈夫曼树:
//treeSize为总节点数
private void creatTree(int treeSize){
int temp;
treeList = new ArrayList<HuffTreeNode>();
for(int i = 0; i < treeSize; i++){
HuffTreeNode node = new HuffTreeNode();
treeList.add(i, node);
}
for(int i = 0; i < charCount; i++){
HuffTreeNode node = treeList.get(i);
node.freq.freq = charList.get(i).getFreq();
node.freq.character = charList.get(i).getCharacter();
node.left = -1;
node.right = -1;
node.use = 0;
}
for(int i = charCount; i < treeSize; i++){
int index = i;
HuffTreeNode node = treeList.get(i);
node.use = 0;
node.freq.character = '#';
node.right = searchmin(index);
node.left = searchmin(index);
node.freq.freq = treeList.get(node.right).freq.freq + treeList.get(node.left).freq.freq;
temp = searchmin(++index);
if(temp == -1){
break;
}
treeList.get(temp).use = 0;
}
}
private int searchmin(int count){
int minindex = -1;
for(int i = 0; i < count; i++){
if(treeList.get(i).use == 0){
minindex = i;
break;
}
}
if(minindex == -1){
return -1;
}
for(int i = 0; i < count; i++){
if((treeList.get(i).freq.freq <= treeList.get(minindex).freq.freq) && treeList.get(i).use == 0){
minindex = i;
}
}
treeList.get(minindex).use = 1;
return minindex;
}
3.用哈夫曼树生成哈夫曼编码(从根结点开始,路径左边记为0,右边记为1):
private void bulidhuftreecode(int root, String str){
if(treeList.get(root).getLeft() != -1 && treeList.get(root).getRight() != -1){
bulidhuftreecode(treeList.get(root).getLeft(), str+"0");
bulidhuftreecode(treeList.get(root).getRight(), str + "1");
}
else{
treeList.get(root).code = str;
}
}

4.哈夫曼编码代替字符,进行压缩,压缩前首先要将文件头(文件标志,字符数量,最后一个字节有效位,密码)字符和其频率的那张表格写入文件,以便于解压缩
public void creatCodeFile(String path) throws Exception{
byte value = 0;
int index = 0;
int arr[] = new int[256];
int intchar;
for(int i = 0; i < charCount; i++){
arr[treeList.get(i).freq.character] = i;
}
File file = new File(path);
if(!file.exists()){
if(!file.createNewFile()){
throw new Exception("创建文件失败");
}
}
int count = charList.size();
HuffmanHead head = new HuffmanHead(count, howlongchar(count), password);
//将文件头信息写入文件
this.write = new RandomAccessFile(file, "rw");
write.write(head.InfoToByte());
//将字符及其频率的表写入文件
for(HuffmanFreq freq : charList){
byte[] bt = freq.infoToByte();
write.write(bt);
}
//将字符用哈夫曼编码进行压缩,这里读写都是采用缓存机制
byte[] readBuffer = new byte[BUFFER_SIZE];
while((intchar = read.read(readBuffer))!= -1){
ProgressBar.SetCurrent(read.getFilePointer());
for(int i = 0; i < intchar;i++){
int temp = readBuffer[i]& 0xff;
String code = treeList.get(arr[temp]).code;
char[] chars = code.toCharArray();
for(int j = 0; j < chars.length; j++){
if(chars[j] == '0'){
value = CLR_BYTE(value, index);
}
if(chars[j] == '1'){
value = SET_BYTE(value, index);
}
if(++index >= 8){
index = 0;
writeInBuffer(value);
}
}
}
}
//此方法速度较慢
// while((intchar = is.read()) != -1){
// String code = treeList.get(arr[intchar]).code;
// char[] chars = code.toCharArray();
//
// for(int i = 0; i < chars.length; i++){
// if(chars[i] == '0'){
// value = CLR_BYTE(value, index);
// }
// if(chars[i] == '1'){
// value = SET_BYTE(value, index);
// }
// if(++index >= 8){
// index = 0;
// oos.write(value);
// }
// }
// }
if(index != 0){
writeInBuffer(value);
}
byte[] Data = Arrays.copyOfRange(writeBuffer, 0, writeBufferSize);
write.write(Data);
write.close();
read.close();
}
//指定位,置1
byte SET_BYTE(byte value, int index){
return (value) |= (1 << ((index) ^ 7));
}
//指定位,置0
byte CLR_BYTE(byte value, int index){
return (value) &= (~(1 << ((index) ^ 7)));
}
//判断指定位是否为0,0为false,1为true
boolean GET_BYTE(byte value, int index){
return ((value) & (1 << ((index) ^ 7))) != 0;
}
如果一个字节一个字节往文件里写,速度会极慢,为了提高效率,写也采用缓存,先写到缓存区,缓存区满了后写入文件,
private void writeInBuffer(byte value) throws Exception {
if(writeBufferSize < BUFFER_SIZE){
writeBuffer[writeBufferSize] = value;
if(++writeBufferSize >= BUFFER_SIZE){
write.write(writeBuffer);
writeBufferSize = 0;
}
} else{
throw new Exception("写入文件出错");
}
}
到这里压缩就完成了,以下为解压缩方法
1.从写入文件中的字符统计的表读出放入list里
public void init() throws Exception{
char isHUf = read.readChar();
//验证文件头信息
if(isHUf != '哈'){
throw new Exception("该文件不是HUFFMAN压缩文件");
}
this.charCount = read.readChar();
this.treeSize = 2*charCount -1;
this.lastIndex = read.readChar();
int password = read.readInt();
if(password != this.password.hashCode()){
System.out.println("密码错误");
} else{
System.out.println("密码正确,正在解压");
}
//从文件中将字符统计的表读出
byte[] buffer = new byte[charCount * 6];
read.seek(10);
read.read(buffer, 0, charCount * 6);
ProgressBar.SetCurrent(read.getFilePointer());
for(int i = 0; i < buffer.length; i+=6){
byte[] buff = Arrays.copyOfRange(buffer, i, i+2);
ByteBuffer bb = ByteBuffer.allocate (buff.length);
bb.put (buff);
bb.flip ();
CharBuffer cb = cs.decode (bb);
byte[] buff1 = Arrays.copyOfRange(buffer, i+2, i+6);
int size = ByteAnd8Types.bytesToInt2(buff1, 0);
HuffmanFreq freq = new HuffmanFreq(cb.array()[0], size);
charList.add(freq);
}
}
2.用统计结果构建哈夫曼树(和以上代码一样)
3.用哈夫曼树生成哈夫曼编码(从根结点开始,路径左边记为0,右边记为1)(和以上代码一样)
4.遍历文件每个字节,根据哈夫曼编码找到对应的字符,将字符写入新文件
public void creatsourcefile(String pathname) throws Exception{
int root = treeList.size() - 1;
int fininsh = 1;
long len;
File file = new File(pathname);
if(!file.exists()){
if(!file.createNewFile()){
throw new Exception("创建文件失败");
}
}
write = new RandomAccessFile(file, "rw");
int intchar;
byte[] bytes = new byte[1<<18];
int index = 0;
while((intchar = read.read(bytes))!= -1){
len = read.getFilePointer();
ProgressBar.SetCurrent(len);
for(int i = 0; i < intchar;i++){
for(;index < 8 && fininsh != 0;){
if(GET_BYTE(bytes[i], index)){
root = treeList.get(root).right;
} else{
root = treeList.get(root).left;
}
if(treeList.get(root).right== -1 && treeList.get(root).left == -1){
byte temp = (byte)treeList.get(root).freq.character;
writeInBuffer(temp);
root = treeList.size() - 1;
}
index++;
if(len == this.goalfilelenth && i == intchar-1){
if(index >= this.lastIndex){
fininsh = 0;
}
}
}
index = 0;
}
}
byte[] Data = Arrays.copyOfRange(writeBuffer, 0, writeBufferSize);
write.write(Data);
write.close();
write.close();
read.close();
}
四运行展示:


以上就是本文的全部内容,希望对大家的学习有所帮助,也希望大家多多支持脚本之家。