写在最前
本次分享一下在canvas中将绘制出来的折线段的棱角“磨平”,也就是通过贝塞尔曲线穿过各个描点来代替原有的折线图。
为什么要平滑拟合折线段
先来看下Echarts下折线图的渲染效果:
一开始我没注意到其实这个折线段是曲线穿过去的,只认为是单纯的描点绘图,所以起初我实现的“简(丑)易(陋)”版本是这样的:

不要关注样式,重点就是实现之后才发现看起来人家Echarts的实现描点非常的圆滑,也由此引发了之后的探讨。怎么有规律的画平滑曲线?
效果图
先来看下最终模仿的实现:
因为我也不知道Echarts内部怎么实现的(逃
看起来已经非常圆润了,和我们最初的设想十分接近了。再看下曲线是否穿过了描点:
好的!结果很明显现在来重新看下我们的实现方式。
实现过程
模拟数据
var data = [Math.random() * 300];
for (var i = 1; i < 50; i++) { //按照echarts
data.push(Math.round((Math.random() - 0.5) * 20 + data[i - 1]));
}
option = {
canvas:{
id: 'canvas'
},
series: {
name: '模拟数据',
itemStyle: {
color: 'rgb(255, 70, 131)'
},
areaStyle: {
color: 'rgb(255, 158, 68)'
},
data: data
}
};
绘制折线图
首先初始化一个构造函数来放置需要用到的数据:
function LinearGradient(option) {
this.canvas = document.getElementById(option.canvas.id)
this.ctx = this.canvas.getContext('2d')
this.width = this.canvas.width
this.height = this.canvas.height
this.tooltip = option.tooltip
this.title = option.text
this.series = option.series //存放模拟数据
}
绘制折线图:
LinearGradient.prototype.draw1 = function() { //折线参考线
...
//要考虑到canvas中的原点是左上角,
//所以下面要做一些换算,
//diff为x,y轴被数据最大值和最小值的取值范围所平分的等份。
this.series.data.forEach(function(item, index) {
var x = diffX * index,
y = Math.floor(self.height - diffY * (item - dataMin))
self.ctx.lineTo(x, y) //绘制各个数据点
})
...
}
贝塞尔曲线平滑拟合
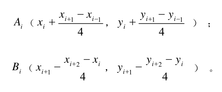
贝塞尔曲线的关键点在于控制点的选择,这个网站可以动态的展现控制点不同而绘制的不同的曲线。而对于控制点的计算。。作者还是选择了百度一下毕竟数学不好:)。具体算法有兴趣的同学可以深入了解下,现在直接说下计算控制点的结论。

上面的公式涉及到四个坐标点,当前点,前一个点以及后两个点,而当坐标值为下图展示的时候绘制出来的曲线如下所示:

不过会有一个问题就是起始点和最后一个点不能用这个公式,不过那篇文章也给出了边界值的处理办法:
所以在将折线换成平滑曲线的时候,将边界值以及其他控制点计算好之后代入到贝塞尔函数中就完成了:
//核心实现
this.series.data.forEach(function(item, index) { //找到前一个点到下一个点中间的控制点
var scale = 0.1 //分别对于ab控制点的一个正数,可以分别自行调整
var last1X = diffX * (index - 1),
last1Y = Math.floor(self.height - diffY * (self.series.data[index - 1] - dataMin)),
//前一个点坐标
last2X = diffX * (index - 2),
last2Y = Math.floor(self.height - diffY * (self.series.data[index - 2] - dataMin)),
//前两个点坐标
nowX = diffX * (index),
nowY = Math.floor(self.height - diffY * (self.series.data[index] - dataMin)),
//当期点坐标
nextX = diffX * (index + 1),
nextY = Math.floor(self.height - diffY * (self.series.data[index + 1] - dataMin)),
//下一个点坐标
cAx = last1X + (nowX - last2X) * scale,
cAy = last1Y + (nowY - last2Y) * scale,
cBx = nowX - (nextX - last1X) * scale,
cBy = nowY - (nextY - last1Y) * scale
if(index === 0) {
self.ctx.lineTo(nowX, nowY)
return
} else if(index ===1) {
cAx = last1X + (nowX - 0) * scale
cAy = last1Y + (nowY - self.height) * scale
} else if(index === self.series.data.length - 1) {
cBx = nowX - (nowX - last1X) * scale
cBy = nowY - (nowY - last1Y) * scale
}
self.ctx.bezierCurveTo(cAx, cAy, cBx, cBy, nowX, nowY);
//绘制出上一个点到当前点的贝塞尔曲线
})
由于我每次遍历的点都是当前点,但是文章中给出的公式是计算会知道下一个点的控制点算法,故在代码实现中我将所有点的计算挪前了一位。当index = 0时也就是初始点是不需要曲线绘制的,因为我们绘制的是从前一个点到当前点的曲线,没有到0的曲线需要绘制。从index = 1开始我们就可以正常开始绘制,从0到1的曲线,由于index = 1时是没有在他前面第二个点的故其属于边界值点,也就是需要特殊进行计算,以及最后一个点。其余均按照正常公式算出AB的xy坐标代入贝塞尔函数即可。
最后
源代码见这里
以上就是本文的全部内容,希望对大家的学习有所帮助,也希望大家多多支持脚本之家。