本文实例为大家分享了C++实现拓扑排序的具体代码,供大家参考,具体内容如下
一、思路

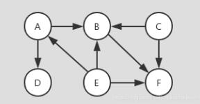
先扫描所有顶点,把入度为0的顶点(如C,E)进栈。然后,取栈顶元素,退栈,输出取得的栈顶元素v(即入度为0的顶点v)。接着,把顶点v的邻接顶点w的入度减1,如果w的入度变为0,则进栈。接着,取顶点w的兄弟结点(即取顶点v的邻接顶点w的下一邻接顶点),做同样的操作。重复上面步骤,直到输出n个顶点。
如上图:
(1)扫描所有顶点,把入度为0的顶点进栈:将顶点C,E进栈;
(2)取栈顶元素,退栈,输出取得的栈顶元素E。接着,把顶点E的邻接顶点A、B和F的入度减1,如果入度变为0,则进栈。因为顶点A入度变为0,所以要进栈;
(3)重复(2)步骤,直到输出n个顶点。
二、实现程序:
1.Graph.h:有向图
#ifndef Graph_h
#define Graph_h
#include <iostream>
using namespace std;
const int DefaultVertices = 30;
template <class T, class E>
struct Edge { // 边结点的定义
int dest; // 边的另一顶点位置
Edge<T, E> *link; // 下一条边链指针
};
template <class T, class E>
struct Vertex { // 顶点的定义
T data; // 顶点的名字
Edge<T, E> *adj; // 边链表的头指针
};
template <class T, class E>
class Graphlnk {
public:
const E maxValue = 100000; // 代表无穷大的值(=∞)
Graphlnk(int sz=DefaultVertices); // 构造函数
~Graphlnk(); // 析构函数
void inputGraph(int count[]); // 建立邻接表表示的图
void outputGraph(); // 输出图中的所有顶点和边信息
T getValue(int i); // 取位置为i的顶点中的值
bool insertVertex(const T& vertex); // 插入顶点
bool insertEdge(int v1, int v2); // 插入边
bool removeVertex(int v); // 删除顶点
bool removeEdge(int v1, int v2); // 删除边
int getFirstNeighbor(int v); // 取顶点v的第一个邻接顶点
int getNextNeighbor(int v,int w); // 取顶点v的邻接顶点w的下一邻接顶点
int getVertexPos(const T vertex); // 给出顶点vertex在图中的位置
int numberOfVertices(); // 当前顶点数
private:
int maxVertices; // 图中最大的顶点数
int numEdges; // 当前边数
int numVertices; // 当前顶点数
Vertex<T, E> * nodeTable; // 顶点表(各边链表的头结点)
};
// 构造函数:建立一个空的邻接表
template <class T, class E>
Graphlnk<T, E>::Graphlnk(int sz) {
maxVertices = sz;
numVertices = 0;
numEdges = 0;
nodeTable = new Vertex<T, E>[maxVertices]; // 创建顶点表数组
if(nodeTable == NULL) {
cerr << "存储空间分配错误!" << endl;
exit(1);
}
for(int i = 0; i < maxVertices; i++)
nodeTable[i].adj = NULL;
}
// 析构函数
template <class T, class E>
Graphlnk<T, E>::~Graphlnk() {
// 删除各边链表中的结点
for(int i = 0; i < numVertices; i++) {
Edge<T, E> *p = nodeTable[i].adj; // 找到其对应链表的首结点
while(p != NULL) { // 不断地删除第一个结点
nodeTable[i].adj = p->link;
delete p;
p = nodeTable[i].adj;
}
}
delete []nodeTable; // 删除顶点表数组
}
// 建立邻接表表示的图
template <class T, class E>
void Graphlnk<T, E>::inputGraph(int count[]) {
int n, m; // 存储顶点树和边数
int i, j, k;
T e1, e2; // 顶点
cout << "请输入顶点数和边数:" << endl;
cin >> n >> m;
cout << "请输入各顶点:" << endl;
for(i = 0; i < n; i++) {
cin >> e1;
insertVertex(e1); // 插入顶点
}
cout << "请输入图的各边的信息:" << endl;
i = 0;
while(i < m) {
cin >> e1 >> e2;
j = getVertexPos(e1);
k = getVertexPos(e2);
if(j == -1 || k == -1)
cout << "边两端点信息有误,请重新输入!" << endl;
else {
insertEdge(j, k); // 插入边
count[k]++; // 记录入度
i++;
}
} // while
}
// 输出有向图中的所有顶点和边信息
template <class T, class E>
void Graphlnk<T, E>::outputGraph() {
int n, m, i;
T e1, e2; // 顶点
Edge<T, E> *p;
n = numVertices;
m = numEdges;
cout << "图中的顶点数为" << n << ",边数为" << m << endl;
for(i = 0; i < n; i++) {
p = nodeTable[i].adj;
while(p != NULL) {
e1 = getValue(i); // 有向边<i, p->dest>
e2 = getValue(p->dest);
cout << "<" << e1 << ", " << e2 << ">" << endl;
p = p->link; // 指向下一个邻接顶点
}
}
}
// 取位置为i的顶点中的值
template <class T, class E>
T Graphlnk<T, E>::getValue(int i) {
if(i >= 0 && i < numVertices)
return nodeTable[i].data;
return NULL;
}
// 插入顶点
template <class T, class E>
bool Graphlnk<T, E>::insertVertex(const T& vertex) {
if(numVertices == maxVertices) // 顶点表满,不能插入
return false;
nodeTable[numVertices].data = vertex; // 插入在表的最后
numVertices++;
return true;
}
// 插入边
template <class T, class E>
bool Graphlnk<T, E>::insertEdge(int v1, int v2) {
if(v1 == v2) // 同一顶点不插入
return false;
if(v1 >= 0 && v1 < numVertices && v2 >= 0 && v2 < numVertices) {
Edge<T, E> *p = nodeTable[v1].adj; // v1对应的边链表头指针
while(p != NULL && p->dest != v2) // 寻找邻接顶点v2
p = p->link;
if(p != NULL) // 已存在该边,不插入
return false;
p = new Edge<T, E>; // 创建新结点
p->dest = v2;
p->link = nodeTable[v1].adj; // 链入v1边链表
nodeTable[v1].adj = p;
numEdges++;
return true;
}
return false;
}
// 有向图删除顶点较麻烦
template <class T, class E>
bool Graphlnk<T, E>::removeVertex(int v) {
if(numVertices == 1 || v < 0 || v > numVertices)
return false; // 表空或顶点号超出范围
Edge<T, E> *p, *s;
// 1.清除顶点v的边链表结点w 边<v,w>
while(nodeTable[v].adj != NULL) {
p = nodeTable[v].adj;
nodeTable[v].adj = p->link;
delete p;
numEdges--; // 与顶点v相关联的边数减1
} // while结束
// 2.清除<w, v>,与v有关的边
for(int i = 0; i < numVertices; i++) {
if(i != v) { // 不是当前顶点v
s = NULL;
p = nodeTable[i].adj;
while(p != NULL && p->dest != v) {// 在顶点i的链表中找v的顶点
s = p;
p = p->link; // 往后找
}
if(p != NULL) { // 找到了v的结点
if(s == NULL) { // 说明p是nodeTable[i].adj
nodeTable[i].adj = p->link;
} else {
s->link = p->link; // 保存p的下一个顶点信息
}
delete p; // 删除结点p
numEdges--; // 与顶点v相关联的边数减1
}
}
}
numVertices--; // 图的顶点个数减1
nodeTable[v].data = nodeTable[numVertices].data; // 填补,此时numVertices,比原来numVertices小1,所以,这里不需要numVertices-1
nodeTable[v].adj = nodeTable[numVertices].adj;
// 3.要将填补的顶点对应的位置改写
for(int i = 0; i < numVertices; i++) {
p = nodeTable[i].adj;
while(p != NULL && p->dest != numVertices) // 在顶点i的链表中找numVertices的顶点
p = p->link; // 往后找
if(p != NULL) // 找到了numVertices的结点
p->dest = v; // 将邻接顶点numVertices改成v
}
return true;
}
// 删除边
template <class T, class E>
bool Graphlnk<T, E>::removeEdge(int v1, int v2) {
if(v1 != -1 && v2 != -1) {
Edge<T, E> * p = nodeTable[v1].adj, *q = NULL;
while(p != NULL && p->dest != v2) { // v1对应边链表中找被删除边
q = p;
p = p->link;
}
if(p != NULL) { // 找到被删除边结点
if(q == NULL) // 删除的结点是边链表的首结点
nodeTable[v1].adj = p->link;
else
q->link = p->link; // 不是,重新链接
delete p;
return true;
}
}
return false; // 没有找到结点
}
// 取顶点v的第一个邻接顶点
template <class T, class E>
int Graphlnk<T, E>::getFirstNeighbor(int v) {
if(v != -1) {
Edge<T, E> *p = nodeTable[v].adj; // 对应链表第一个边结点
if(p != NULL) // 存在,返回第一个邻接顶点
return p->dest;
}
return -1; // 第一个邻接顶点不存在
}
// 取顶点v的邻接顶点w的下一邻接顶点
template <class T, class E>
int Graphlnk<T, E>::getNextNeighbor(int v,int w) {
if(v != -1) {
Edge<T, E> *p = nodeTable[v].adj; // 对应链表第一个边结点
while(p != NULL && p->dest != w) // 寻找邻接顶点w
p = p->link;
if(p != NULL && p->link != NULL)
return p->link->dest; // 返回下一个邻接顶点
}
return -1; // 下一个邻接顶点不存在
}
// 给出顶点vertex在图中的位置
template <class T, class E>
int Graphlnk<T, E>::getVertexPos(const T vertex) {
for(int i = 0; i < numVertices; i++)
if(nodeTable[i].data == vertex)
return i;
return -1;
}
// 当前顶点数
template <class T, class E>
int Graphlnk<T, E>::numberOfVertices() {
return numVertices;
}
#endif /* Graph_h */
2.TopLogicalSort.h
#ifndef TopLogicalSort_h
#define TopLogicalSort_h
#include "Graph.h"
template <class T, class E>
void TopLogicalSort(Graphlnk<T, E> &G) {
int i, w, v;
int n; // 顶点数
int *count = new int[DefaultVertices]; // 入度数组
int top = -1;
// 清零
for(i = 0; i< DefaultVertices; i++)
count[i] = 0;
// 输入顶点和边
G.inputGraph(count);
n = G.numberOfVertices(); // 获取图的顶点数
for(i = 0; i < n; i++) { // 检查网络所有顶点
if(count[i] == 0) { // 入度为0的顶点进栈
count[i] = top;
top = i;
}
}
// 进行拓扑排序,输出n个顶点
for(i = 0; i < n; i++) {
if(top == -1) { // 空栈
cout << "网络中有回路!" << endl;
return;
} else {
v = top;
top = count[top];
cout << G.getValue(v) << " "; // 输出入度为0的顶点
w = G.getFirstNeighbor(v); // 邻接顶点
while(w != -1) { // 扫描出边表
if(--count[w] == 0) { // 邻接顶点入度减1,如果入度为0则进栈
count[w] = top;
top = w;
}
w = G.getNextNeighbor(v, w); // 兄弟结点(取顶点v的邻接顶点w的下一邻接顶点)
}
}
}
cout << endl;
}
#endif /* TopLogicalSort_h */
3.main.cpp
#include "TopLogicalSort.h"
int main(int argc, const char * argv[]) {
Graphlnk<char, int> G; // 声明图对象
TopLogicalSort(G); // AOV网络的拓扑排序
return 0;
}
测试数据:
6 8
A B C D E F
A B
A D
B F
C B
C F
E A
E F
E B
测试结果:

以上就是本文的全部内容,希望对大家的学习有所帮助,也希望大家多多支持脚本之家。