在WORD操作中,遇到数学公式时,我们往往都要通过公式编辑器来录入,其实,除了公式编辑器以外,在Word中还有一个编辑公式的利器:域。有了这个工具,应付一般的数学公式编辑还是绰绰有余的。
相关文章:word文档中的域你知道怎么用吗?
word文档中的域你知道怎么用吗(下)
一、分式的输入 如果用域来解决的话,那么分式的输入还是很简单的。比如我们要输入数字四分之三,只要在相应位置按下“Ctrl F9”快捷键,就会产生一个空域(一对大括号)。将鼠标定位于大括号内,然后输入“eq \f(3,4)”,然后再点击右键,在弹出的菜单中点击“切换域代码”命令,就可以得到标准的分式四分之三了,如图1所示。其它的分式可以模仿来写,不用担心分式中的那条横线,它会根据分子、分母的长度自动调节长度的。需要注意的是,域代码必须在英文的半角状态下完成输入,此外,那对大括号不能手工输入,只能用快捷键来完成。

图1 Word切换域代码得到分式效果
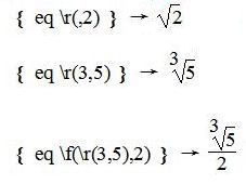
二、带根号的分式 先说一个单纯的三次根下二这样的数字输入吧。还是先按下“Ctrl F9”快捷键,然后在大括号内输入域代码“eq \r(3, 2)”,选中代码中的数字“3”,将它的字号调小,然后按下右键菜单中的“切换域代码”命令,就可以得到数字三次根下二了,如图2所示。

图2 Word中输入特殊域代码
显然,如果要得到二次方根,那么只要将代码中的数字“3”改成“2”就可以了。不过,通常我们的习惯是二次方根的数字“2”是忽略不写的,所以,域代码中的第一个数字我们也可以直接略掉的,直接写代码“eq \r(, 2)”就行。
至于带根号的分式,那就简单了。只要把分式和根式的代码结合起来,在相应的位置改换一下就可以了。因此二分之三次根下二这样的数字,其域代码应该是“eq \f(\r(3,2),2)”。按下“切换域代码”后,得到的效果还可以吧?看图2就知道了。
三、输入向量符号 向量符号是在英文字母的上方加一个箭头符号。用域功能也可以很容易实现这个要求。
在大括号中输入域代码“eq \o(→,a)”,其中,箭头符号可以使用“插入→符号”的方法来实现。如果我们这时点击右键菜单中的“切换域代码”命令的话,您会发现,得到的结果只是箭头与字母重叠在一起,并不是我们希望的结果。那么,如何使箭头向上移动呢?
选中域代码中的箭头,点击右键,然后在弹出菜单中点击“字体”命令,打开“字体”对话框。点击“字符间距”选项卡,然后点击“位置”下拉列表,选择“提升”,并用其后的“磅值”微调按钮设置提升值为“5磅”,如图3所示。

图3 Word中设置字符间距
确定后就可以使箭头符号向上移动5磅的位置,这样,就可以移动到字符的上方了。现在,再选中域代码,然后点击“切换域代码”命令,就可以得到预期的效果了,如图4所示。

图4 调整箭头字符后效果
如果您觉得这样子操作比较麻烦的话,还可以直接在域符号中输入代码“eq \o (\s\up5(→),a)”,这样,同样可以实现将箭头向上提升5磅的效果。如上图4所示。
怎么样,不难吧?如果您经常要录入数学公式,但却没有安装公式编辑器或者烦了公式编辑器,那么,不妨试试用域代码来编写公式,呵呵,感觉一定很不错的!