word编辑文档的时候,经常需要在文档中输入一些数学公式,该怎么快速输入公式呢?下面我们就来看看详细的教程。

1、打开word文档,点击上方菜单栏的「插入」项。

2、然后点击这个菜单下的「公式」。

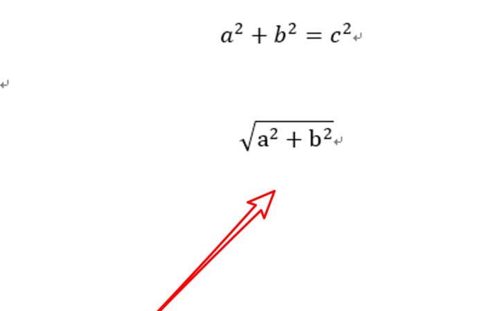
3、在公式下拉菜单里,选择一个常用的公式,比如勾股定理的公式。

4、选择后,我们就成功输入了一个公式了。

5、如果在下拉选项里,没有找到自己需要的公式,我们可以点击「插入新公式」。

6、然后在上方的菜单里,选择自己需要的数学公式,

7、比如插入一个开平方的公式。

以上就是word2019快速插入数学公式的教程,希望大家喜欢,请继续关注脚本之家。
相关推荐: