在毕业论文的撰写与排版过程中,对于公式的处理问题,一直是现阶段毕业生面临的主要问题。如何才能有效的实现公式居中,编号右对齐?本人亲身体验,通过新建样式可以快速达到目的!具体实现步骤如下:

1、计算整个页面的中间位置和最右侧位置。
如下图所示,依次点击【页面布局】~【右下角小箭头】~【页边距】观察左边距为:2.5厘米,右边距为:2.5厘米,装订线为:1厘米;点击【纸张】,观察纸张宽度为:21厘米。通过计算可以得到页面的中间位置为:(21-2.5-2.5-1)/2=7.5厘米,最右侧位置为:21-2.5-2.5-1=15厘米。把这两个位置的具体数值大小记住。


2、新建一个公式样式
a. 如下图所示,依次点击编号1【开始】~编号2【右下角小箭头】~编号3【新建样式】,这时会出现样式编辑窗口,如图中编号4处,把样式名称改为“公式”方便后面操作,其他属性不变。
b. 继续点击编号5【格式】~编号6【制表位】,这时会出现制表位窗口,紧接着会用到我们在第一步计算的两个数值(7.5厘米和15厘米),点击编号7【居中】,在编号8处“制表位位置”输入“7.5厘米”,点击编号9【设置】,这时7.5厘米变成了18.02字符,这个结果是由系统自动计算的不用管它;点击编号10【右对齐】,在编号11处“制表位位置”输入“15厘米”,点击编号12【设置】,这时15厘米变成了36.04字符即如编号13出所示结果;点击编号14【确定】~编号15【确定】,最后在样式栏可以看到编号16【公式】样式。进行到这里我们对公式样式的设置就已经结束了,紧接着就可以对我们文档中的公式进行排版了。






3、进行公式排版
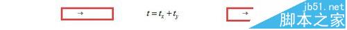
如下图所示,用MathType 6.7 输入公式和编号,首先选中公式所在行,点击【样式窗口】中我们刚刚建立的【公式】样式。然后将光标置于公式前面,按一下键盘的【Tab】键,这时会在公式前面出现一个灰色的小箭头,这是制表符,再将光标置于公式编号前面,再按一下键盘的【Tab】键,在公式编号前面又出现了一个制表符,这时会发现你的公式已经居中且编号右对齐了,到这里我们的公式排版就结束了。



4、公式样式修改
如下图所示,可以点击样式中公式附近的右边三角形,里面有个修改选项可以对公式样式进行修改,具体修改方法同第二步操作!

相关推荐: