excel中如何求一系列数据的方差呢,请听我细细道来。
一、var函数
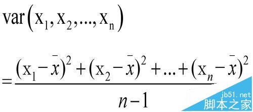
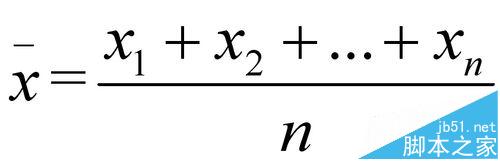
1、函数 VAR 假设其参数是样本总体中的一个样本。公式意义见下图:
注意:到下图一中的根号内的分式分母为n-1


2、我现在想用var函数求单元格区域A1:A10这一列数据的方差。在单元格A13输入函数:=VAR(A1:A10),见下图,然后回车

3、这样用var函数求得的单元格区域A1:A10这一列数据的方差就放在了单元格A13了,见下图

二、var.p函数
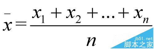
1、函数 VAR.P计算基于整个样本总体的方差。公式意义见下图:
注意:到下图一中的根号内的分式分母为n


2、我现在想用var.p函数求单元格区域A1:A10这一列数据的方差,在单元格B13输入函数:=VAR.P(A1:A10),见下图,然后回车

3、这样用var.p函数求得的单元格区域A1:A10这一列数据的标准方差就放在了单元格B13了,见下图

4、函数 VAR.P 假设其参数为样本总体。如果数据代表样本总体中的一个样本,则使用函数 VAR 计算方差
相关推荐: